文章目录
- 前言
- 一、M序列
- 二、M-OFDM 信号
- 1、OFDM 信号表达式
- 2、模糊函数表达式
- 三、MATLAB 仿真
- 1、MATLAB 核心源码
- 2、仿真结果
- ①、m-OFDM 模糊函数
- ②、m-OFDM 距离分辨率
- ③、m-OFDM 速度分辨率
- ④、m-OFDM 等高线图
- 四、资源自取
前言
本文进行 M-OFDM 的原理讲解及仿真,首先看一下 M-OFDM 的模糊函数仿真效果:

一、M序列
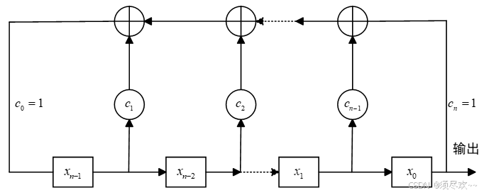
m 序列是由多级移位寄存器利用线性反馈生成的最大长度序列。由于其具有良好的周期性和较低的复杂度,m序列在各领域得到了广泛应用。此类序列可通过二进制线性反馈移位寄存器生成,具体过程如下图所示。

线性反馈移位寄存器由 n 个串联的移位脉冲产生器、寄存器以及模 2 加法器构成。第
i
i
i 级的移位脉冲产生器的状态用
x
i
x_i
xi 表示,其中
x
i
x_i
xi 的值为 1 或 0,
i
i
i 为整数。反馈路径的状态由
c
i
c_i
ci 表示,当
c
i
=
1
c_i=1
ci=1 时,表示该路径存在反馈;当
c
i
=
0
c_i=0
ci=0 时,表示该路径没有反馈。
二、M-OFDM 信号
1、OFDM 信号表达式
OFDM 信号提供了一种在频域上设计波形、时域上输出波形的 DFT 数字调制方式。OFDM 信号的数学表达式为:
B
(
t
)
=
∑
k
=
0
N
−
1
b
k
e
j
2
π
f
k
t
=
∑
k
=
0
N
−
1
b
k
e
j
2
π
(
f
0
+
k
Δ
f
)
t
B(t)=\sum_{k=0}^{N-1}b_ke^{j2\pi f_kt}=\sum_{k=0}^{N-1}b_ke^{j2\pi (f_0+k\Delta f)t}
B(t)=k=0∑N−1bkej2πfkt=k=0∑N−1bkej2π(f0+kΔf)t
- b k :调制序列,为第 k 路子信道中的复输入数据 b_k:调制序列,为第 k 路子信道中的复输入数据 bk:调制序列,为第k路子信道中的复输入数据
- f k = f 0 + k Δ f f_k=f_0+k \Delta f fk=f0+kΔf, f 0 f_0 f0 为起始频率, Δ f \Delta f Δf 为频率间隔
2、模糊函数表达式
模糊函数是雷达探测波形分析的重要工具,通过对信号波形的模糊函数分析,可以得到信号波形的距离分辨率、多普勒分辨率及多普勒容限特性。
连续时间信号模糊函数的定义为:
χ
(
τ
,
f
d
)
=
1
E
∫
−
∞
∞
b
(
t
)
b
∗
(
t
−
τ
)
e
j
2
π
f
d
t
d
t
\chi (\tau,f_d)=\frac{1}{E} \int_{-\infty}^{\infty} b(t)b^{*}(t-\tau)e^{j2\pi f_dt} \,dt
χ(τ,fd)=E1∫−∞∞b(t)b∗(t−τ)ej2πfdtdt
- 式中,E为信号的总能量;
离散时间序列的模糊函数表示为:
χ
(
m
,
k
d
)
=
1
E
c
∑
n
e
n
e
n
−
m
∗
e
j
2
π
N
k
d
n
\chi (m,k_d)=\frac{1}{E_c}\sum_{n}e_ne^{*}_{n-m}e^{j\frac{2\pi}{N}k_dn}
χ(m,kd)=Ec1n∑enen−m∗ejN2πkdn
- 式中, m = f s × τ m=f_s×\tau m=fs×τ, f s f_s fs 为采样率;
- k d = f d × f s N k_d=\frac{f_d×f_s}{N} kd=Nfd×fs,N为采样点数
由于 M 序列是离散序列,结合上面公式可知 M-OFDM 信号的模糊函数为:
χ
M
n
(
m
,
k
d
)
=
1
E
z
∑
n
M
(
n
)
M
∗
(
n
+
k
d
)
e
−
j
2
π
n
m
N
\chi_{M_n}(m,k_d)=\frac{1}{E_z}\sum_{n}M(n)M^{*}(n+k_d)e^{-j\frac{2\pi nm}{N}}
χMn(m,kd)=Ez1n∑M(n)M∗(n+kd)e−jN2πnm
三、MATLAB 仿真
1、MATLAB 核心源码
m_ofdm.m
%% M-OFDM信号产生
for i = 1:num
OFDMsignel(i,:) = Mesq(i)*exp(1j*2*pi*((f0 + B*(i-1))*t)); % OFDM 信号产生 将ZC序列与相应的频率因子相乘
OFDMsignel(i,:) = awgn(OFDMsignel(i,:),SNR,'measured'); % 添加高斯白噪声到OFDM信号中,以实现指定的信噪比。
end
ambi = abs(xcorr2(bsxfun(@times, x_tmp, exp(1j*2*pi*fd'*t)),x_tmp)); %计算模糊函数 对信号做共轭相乘互相关
2、仿真结果
①、m-OFDM 模糊函数

m-OFDM信号的模糊函数呈现出较宽的峰值,说明该信号在时间和频率上的分辨率较低,存在一定的不确定性。虽然时间和频率的分辨率不够精细,但其模糊函数表现仍然较为平滑,适合一些需要较宽容忍度的应用场景。
②、m-OFDM 距离分辨率

m-OFDM的零多普勒截面呈现出多个周期性的波动,峰值较为宽广,表明该信号在时间域的分辨率较差。其主要峰值相对较宽,显示出时间定位不够精准,可能导致对目标的时间分辨率较低,不适合高精度定位要求的场景。
③、m-OFDM 速度分辨率

m-OFDM信号的零延时截面较宽且存在多个波动,主峰虽然存在,但其宽度较大,旁瓣较多。这表明m-OFDM信号在频率域的分辨率较差,难以精确区分频率变化的目标。
④、m-OFDM 等高线图

能量集中(主瓣清晰)、旁瓣抑制(抗干扰强)、时频对称(正交性好),适用于雷达高精度距离 - 多普勒分辨,尤其在多目标和杂波环境下性能优异。
四、资源自取
下载链接:M-OFDM模糊函数原理及仿真

代码注释标注清晰:

我的qq:2442391036,欢迎交流!












![[ElasticSearch] ElasticSearch的初识与基本操作](https://i-blog.csdnimg.cn/direct/6fc2cec3a1014fc69ca52e5d2af35f66.png)



![[Protobuf]常见数据类型以及使用注意事项](https://i-blog.csdnimg.cn/direct/7b9edaddb85c4cf9a94c5fdf1f15a5cf.png#pic_center)


