160.相交链表
160. 相交链表已解答简单相关标签相关企业给你两个单链表的头节点
headA和headB,请你找出并返回两个单链表相交的起始节点。如果两个链表不存在相交节点,返回null。图示两个链表在节点
c1开始相交:
题目数据 保证 整个链式结构中不存在环。
注意,函数返回结果后,链表必须 保持其原始结构 。
自定义评测:
评测系统 的输入如下(你设计的程序 不适用 此输入):
intersectVal- 相交的起始节点的值。如果不存在相交节点,这一值为0listA- 第一个链表listB- 第二个链表skipA- 在listA中(从头节点开始)跳到交叉节点的节点数skipB- 在listB中(从头节点开始)跳到交叉节点的节点数评测系统将根据这些输入创建链式数据结构,并将两个头节点
headA和headB传递给你的程序。如果程序能够正确返回相交节点,那么你的解决方案将被 视作正确答案 。示例 1:
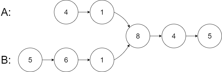
输入:intersectVal = 8, listA = [4,1,8,4,5], listB = [5,6,1,8,4,5], skipA = 2, skipB = 3 输出:Intersected at '8' 解释:相交节点的值为 8 (注意,如果两个链表相交则不能为 0)。 从各自的表头开始算起,链表 A 为 [4,1,8,4,5],链表 B 为 [5,6,1,8,4,5]。 在 A 中,相交节点前有 2 个节点;在 B 中,相交节点前有 3 个节点。 — 请注意相交节点的值不为 1,因为在链表 A 和链表 B 之中值为 1 的节点 (A 中第二个节点和 B 中第三个节点) 是不同的节点。换句话说,它们在内存中指向两个不同的位置,而链表 A 和链表 B 中值为 8 的节点 (A 中第三个节点,B 中第四个节点) 在内存中指向相同的位置。示例 2:
输入:intersectVal = 2, listA = [1,9,1,2,4], listB = [3,2,4], skipA = 3, skipB = 1 输出:Intersected at '2' 解释:相交节点的值为 2 (注意,如果两个链表相交则不能为 0)。 从各自的表头开始算起,链表 A 为 [1,9,1,2,4],链表 B 为 [3,2,4]。 在 A 中,相交节点前有 3 个节点;在 B 中,相交节点前有 1 个节点。示例 3:
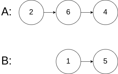
输入:intersectVal = 0, listA = [2,6,4], listB = [1,5], skipA = 3, skipB = 2 输出:No intersection 解释:从各自的表头开始算起,链表 A 为 [2,6,4],链表 B 为 [1,5]。 由于这两个链表不相交,所以 intersectVal 必须为 0,而 skipA 和 skipB 可以是任意值。 这两个链表不相交,因此返回 null 。提示:
listA中节点数目为mlistB中节点数目为n1 <= m, n <= 3 * 1041 <= Node.val <= 1050 <= skipA <= m0 <= skipB <= n- 如果
listA和listB没有交点,intersectVal为0- 如果
listA和listB有交点,intersectVal == listA[skipA] == listB[skipB]进阶:你能否设计一个时间复杂度
O(m + n)、仅用O(1)内存的解决方案?
实现思路
变量作用域优化:
- 在
if (lengthA > lengthB)和else分支中,分别处理l1或l2的移动,避免混淆。- 在
while (l1 && l2)循环中,统一检查l1 === l2,逻辑更清晰。合并逻辑分支:
- 将两个
if分支的逻辑合并为一个通用的while (l1 && l2)循环,减少重复代码。指针移动时机:
- 在计算长度后,先让较长的链表移动
diff步,然后同时遍历两个链表,直到找到交点或遍历结束。返回值修正:
- 无论哪个链表先走到交点,都返回
l1或l2(因为此时l1 === l2)。
代码实现
var getIntersectionNode = function(headA, headB) {
let l1 = headA;
let l2 = headB;
let lengthA = 0, lengthB = 0;
// 计算链表 A 的长度
while (l1) {
l1 = l1.next;
lengthA++;
}
// 计算链表 B 的长度
while (l2) {
l2 = l2.next;
lengthB++;
}
// 重置指针
l1 = headA;
l2 = headB;
// 让较长的链表先走差值步
let diff = Math.abs(lengthA - lengthB);
if (lengthA > lengthB) {
while (diff--) {
l1 = l1.next;
}
} else {
while (diff--) {
l2 = l2.next;
}
}
// 同时遍历,寻找交点
while (l1 && l2) {
if (l1 === l2) {
return l1; // 返回交点
}
l1 = l1.next;
l2 = l2.next;
}
return null; // 无交点
};
206.反转链表
206. 反转链表
给你单链表的头节点
head,请你反转链表,并返回反转后的链表。示例 1:
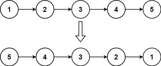
输入:head = [1,2,3,4,5] 输出:[5,4,3,2,1]示例 2:
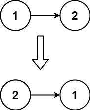
输入:head = [1,2] 输出:[2,1]示例 3:
输入:head = [] 输出:[]提示:
- 链表中节点的数目范围是
[0, 5000]-5000 <= Node.val <= 5000进阶:链表可以选用迭代或递归方式完成反转。你能否用两种方法解决这道题?
var reverseList = function(head) {
let prev = null; // 前驱节点
let current = head; // 当前节点
let temp; // 暂存当前节点的下一个节点
while (current) {
temp = current.next; // 暂存下一个节点
current.next = prev; // 反转当前节点的指针
prev = current; // 移动 prev 到当前节点
current = temp; // 移动 current 到下一个节点
}
return prev; // 返回新的头节点
};
234.回文链表
234. 回文链表
已解答
简单
相关标签
相关企业
给你一个单链表的头节点
head,请你判断该链表是否为。如果是,返回
true;否则,返回false。示例 1:
输入:head = [1,2,2,1] 输出:true示例 2:
输入:head = [1,2] 输出:false提示:
- 链表中节点数目在范围
[1, 105]内0 <= Node.val <= 9进阶:你能否用
O(n)时间复杂度和O(1)空间复杂度解决此题?
/**
* Definition for singly-linked list.
* function ListNode(val, next) {
* this.val = (val===undefined ? 0 : val)
* this.next = (next===undefined ? null : next)
* }
*/
/**
* @param {ListNode} head
* @return {boolean}
*/
var isPalindrome = function(head) {
// 获得长度,然后用栈的操作 前一半入栈 后一半出栈
let stack1=[];
let length=0
let p=head;
while(p){
length++;
p=p.next;
}
p=head;
// 存储前一半的数
for(let i=0;i<Math.floor(length/2);i++){
stack1.push(p.val);
p=p.next;
}
// 如果为奇数就跳过中间的数
if(length%2===1){
p=p.next;
}
// 现在p指针位于后一段的第一个数上
// 比较后一段的数和前一段是否相等
for(let i=0;i<Math.floor(length/2);i++){
if(p.val===stack1.pop()){
p=p.next;
}else{
return false;
}
}
return true;
};
141.环形链表I
141. 环形链表
已解答
简单
相关标签
相关企业
给你一个链表的头节点
head,判断链表中是否有环。如果链表中有某个节点,可以通过连续跟踪
next指针再次到达,则链表中存在环。 为了表示给定链表中的环,评测系统内部使用整数pos来表示链表尾连接到链表中的位置(索引从 0 开始)。注意:pos不作为参数进行传递 。仅仅是为了标识链表的实际情况。如果链表中存在环 ,则返回
true。 否则,返回false。示例 1:
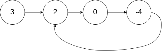
输入:head = [3,2,0,-4], pos = 1 输出:true 解释:链表中有一个环,其尾部连接到第二个节点。示例 2:
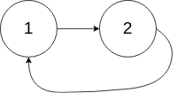
输入:head = [1,2], pos = 0 输出:true 解释:链表中有一个环,其尾部连接到第一个节点。示例 3:
输入:head = [1], pos = -1 输出:false 解释:链表中没有环。提示:
- 链表中节点的数目范围是
[0, 104]-105 <= Node.val <= 105pos为-1或者链表中的一个 有效索引 。进阶:你能用
O(1)(即,常量)内存解决此问题吗?
/**
* Definition for singly-linked list.
* function ListNode(val) {
* this.val = val;
* this.next = null;
* }
*/
/**
* @param {ListNode} head
* @return {boolean}
*/
var hasCycle = function(head) {
let slow=head;
let fast=head;
while (fast && fast.next) {
slow = slow.next; // 慢指针走 1 步
fast = fast.next.next; // 快指针走 2 步
if (slow === fast) return true; // 快慢指针相遇,有环
}
return false; // 快指针到达末尾,无环
};
142.环形链表II
142. 环形链表 II
已解答
中等
相关标签
相关企业
给定一个链表的头节点
head,返回链表开始入环的第一个节点。 如果链表无环,则返回null。如果链表中有某个节点,可以通过连续跟踪
next指针再次到达,则链表中存在环。 为了表示给定链表中的环,评测系统内部使用整数pos来表示链表尾连接到链表中的位置(索引从 0 开始)。如果pos是-1,则在该链表中没有环。注意:pos不作为参数进行传递,仅仅是为了标识链表的实际情况。不允许修改 链表。
示例 1:
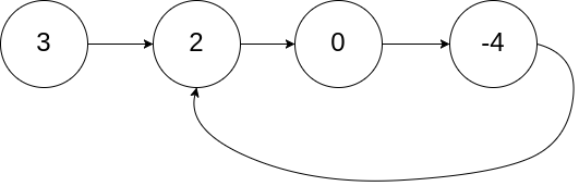
输入:head = [3,2,0,-4], pos = 1 输出:返回索引为 1 的链表节点 解释:链表中有一个环,其尾部连接到第二个节点。示例 2:
输入:head = [1,2], pos = 0 输出:返回索引为 0 的链表节点 解释:链表中有一个环,其尾部连接到第一个节点。示例 3:
输入:head = [1], pos = -1 输出:返回 null 解释:链表中没有环。提示:
- 链表中节点的数目范围在范围
[0, 104]内-105 <= Node.val <= 105pos的值为-1或者链表中的一个有效索引进阶:你是否可以使用
O(1)空间解决此题?
实现思路
检测环:
- 使用快慢指针(
slow和fast),如果它们相遇,说明有环。找到环的起始节点:
- 相遇后,重新设置
ptr1指向链表头部,ptr2指向相遇点。- 然后
ptr1和ptr2以相同速度移动,它们的交点就是环的起始节点。**无环时返回
null**:
- 如果
fast或fast.next为null,说明链表无环,返回null。
为什么这样能找到环的起始节点?
- 设链表头到环起点的距离为
a,环起点到相遇点的距离为b,相遇点到环起点的距离为c。- 快指针走的距离是慢指针的 2 倍:2(a+b)=a+b+k⋅(b+c)其中 k 是快指针在环内绕的圈数。
- 化简得:a+b=k⋅(b+c)a=(k−1)⋅(b+c)+c这意味着从链表头到环起点的距离
a等于从相遇点再走c步的距离。- 因此,当
ptr1(从头开始)和ptr2(从相遇点开始)以相同速度移动时,它们会在环起点相遇。
代码实现
/**
* Definition for singly-linked list.
* function ListNode(val) {
* this.val = val;
* this.next = null;
* }
*/
/**
* @param {ListNode} head
* @return {ListNode}
*/
var detectCycle = function (head) {
let slow = head;
let fast = head;
while (fast && fast.next) {
slow = slow.next; // 慢指针走 1 步
fast = fast.next.next; // 快指针走 2 步
if (slow === fast) {
// 找到环后,重新定位指针找环的起始节点
let ptr1 = head;
let ptr2 = slow;
while (ptr1 !== ptr2) {
ptr1 = ptr1.next;
ptr2 = ptr2.next;
}
return ptr1; // 返回环的起始节点
}
}
return null; // 快指针到达末尾,无环
};
21.合并两个有序链表
21. 合并两个有序链表
已解答
简单
相关标签
相关企业
将两个升序链表合并为一个新的 升序 链表并返回。新链表是通过拼接给定的两个链表的所有节点组成的。
示例 1:
输入:l1 = [1,2,4], l2 = [1,3,4] 输出:[1,1,2,3,4,4]示例 2:
输入:l1 = [], l2 = [] 输出:[]示例 3:
输入:l1 = [], l2 = [0] 输出:[0]提示:
- 两个链表的节点数目范围是
[0, 50]-100 <= Node.val <= 100l1和l2均按 非递减顺序 排列
使用哑节点(Dummy Node):
- 哑节点是一个虚拟节点,用于简化链表操作。它作为合并后链表的起始点,避免处理头节点的特殊情况。
正确合并逻辑:
- 比较
l1和l2的当前节点值,将较小的节点连接到current.next。- 移动较小节点的指针(
l1或l2)到下一个节点。- 移动
current到新连接的节点。处理剩余节点:
- 当其中一个链表遍历完后,直接将另一个链表的剩余部分连接到
current.next。返回合并后的链表头节点:
- 返回
dummy.next,即合并后链表的真正头节点。
/**
* Definition for singly-linked list.
* function ListNode(val, next) {
* this.val = (val===undefined ? 0 : val)
* this.next = (next===undefined ? null : next)
* }
*/
/**
* @param {ListNode} list1
* @param {ListNode} list2
* @return {ListNode}
*/
function mergeTwoLists(l1, l2) {
// 创建一个哑节点(dummy node)作为合并后链表的起始点
let dummy = new ListNode(-1);
let current = dummy;
while(l1&&l2){
if(l1.val<=l2.val){
current.next=l1
l1=l1.next
}else{
current.next = l2;
l2 = l2.next;
}
current=current.next
}
// 将剩余的链表直接连接到合并后的链表
if (l1 !== null) {
current.next = l1;
} else {
current.next = l2;
}
// 返回合并后的链表头节点(跳过哑节点)
return dummy.next;
}
2.两数相加
2. 两数相加
给你两个 非空 的链表,表示两个非负的整数。它们每位数字都是按照 逆序 的方式存储的,并且每个节点只能存储 一位 数字。
请你将两个数相加,并以相同形式返回一个表示和的链表。
你可以假设除了数字 0 之外,这两个数都不会以 0 开头。
示例 1:
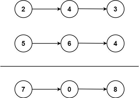
输入:l1 = [2,4,3], l2 = [5,6,4] 输出:[7,0,8] 解释:342 + 465 = 807.示例 2:
输入:l1 = [0], l2 = [0] 输出:[0]示例 3:
输入:l1 = [9,9,9,9,9,9,9], l2 = [9,9,9,9] 输出:[8,9,9,9,0,0,0,1]提示:
- 每个链表中的节点数在范围
[1, 100]内0 <= Node.val <= 9- 题目数据保证列表表示的数字不含前导零
/**
* Definition for singly-linked list.
* function ListNode(val, next) {
* this.val = (val===undefined ? 0 : val)
* this.next = (next===undefined ? null : next)
* }
*/
/**
* @param {ListNode} l1
* @param {ListNode} l2
* @return {ListNode}
*/
var addTwoNumbers = function (l1, l2) {
let dummy = new ListNode(-1); // 哑节点
let current = dummy;
let carry = 0; // 进位
while (l1 !== null || l2 !== null || carry !== 0) {
// 获取当前节点的值(如果节点存在)
let val1 = l1 ? l1.val : 0;
let val2 = l2 ? l2.val : 0;
// 计算当前位的和 + 进位
let sum = val1 + val2 + carry;
carry = Math.floor(sum / 10); // 计算新的进位
current.next = new ListNode(sum % 10); // 创建新节点
current = current.next; // 移动 current 指针
// 移动 l1 和 l2 指针
if (l1) l1 = l1.next;
if (l2) l2 = l2.next;
}
return dummy.next; // 返回合并后的链表头节点
};
19.删除链表的倒数第n个节点
19. 删除链表的倒数第 N 个结点
已解答
中等
相关标签
相关企业
提示
给你一个链表,删除链表的倒数第
n个结点,并且返回链表的头结点。示例 1:
输入:head = [1,2,3,4,5], n = 2 输出:[1,2,3,5]示例 2:
输入:head = [1], n = 1 输出:[]示例 3:
输入:head = [1,2], n = 1 输出:[1]提示:
- 链表中结点的数目为
sz1 <= sz <= 300 <= Node.val <= 1001 <= n <= sz
/**
* Definition for singly-linked list.
* function ListNode(val, next) {
* this.val = (val===undefined ? 0 : val)
* this.next = (next===undefined ? null : next)
* }
*/
/**
* @param {ListNode} head
* @param {number} n
* @return {ListNode}
*/
var removeNthFromEnd = function (head, n) {
// length为链表长度
let length = 0;
// p指向头节点
let p = head
// 计算链表长度
while (p) {
length++
p = p.next
}
// 如果要删除的是头节点
if (n === length) {
return head.next;
}
// 找到倒数第 n+1 个节点
p = head
for (let i = 1; i < length - n; i++) {
p = p.next
}
// 删除倒数第 n 个节点
p.next = p.next.next;
return head
};
24.两两交换链表中的节点
24. 两两交换链表中的节点
给你一个链表,两两交换其中相邻的节点,并返回交换后链表的头节点。你必须在不修改节点内部的值的情况下完成本题(即,只能进行节点交换)。
示例 1:
输入:head = [1,2,3,4] 输出:[2,1,4,3]示例 2:
输入:head = [] 输出:[]示例 3:
输入:head = [1] 输出:[1]提示:
- 链表中节点的数目在范围
[0, 100]内0 <= Node.val <= 100
/**
* Definition for singly-linked list.
* function ListNode(val, next) {
* this.val = (val===undefined ? 0 : val)
* this.next = (next===undefined ? null : next)
* }
*/
/**
* @param {ListNode} head
* @return {ListNode}
*/
var swapPairs = function (head) {
// 创建哑节点,简化头节点交换
let dummy = new ListNode(0)
dummy.next = head
let prev = dummy
while (prev.next && prev.next.next) {
// 当前要交换的两个节点
let first = prev.next
let second = prev.next.next
// 执行交换
prev.next = second// 哑节点指向第二个节点
first.next = second.next// 第一个节点指向第二个节点的下一个
second.next = first // 第二个节点指向第一个节点
// 移动prev指针到下一对的前驱
prev = first
}
return dummy.next
};



































