1.题目链接:
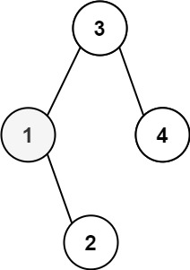
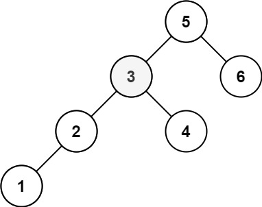
230. 二叉搜索树中第 K 小的元素 - 力扣(LeetCode)230. 二叉搜索树中第 K 小的元素 - 给定一个二叉搜索树的根节点 root ,和一个整数 k ,请你设计一个算法查找其中第 k 小的元素(从 1 开始计数)。 示例 1:[https://assets.leetcode.com/uploads/2021/01/28/kthtree1.jpg]输入:root = [3,1,4,null,2], k = 1输出:1示例 2:[https://assets.leetcode.com/uploads/2021/01/28/kthtree2.jpg]输入:root = [5,3,6,2,4,null,null,1], k = 3输出:3 提示: * 树中的节点数为 n 。 * 1 <= k <= n <= 104 * 0 <= Node.val <= 104 进阶:如果二叉搜索树经常被修改(插入/删除操作)并且你需要频繁地查找第 k 小的值,你将如何优化算法?
https://leetcode.cn/problems/kth-smallest-element-in-a-bst/description/2.题目描述:
给定一个二叉搜索树的根节点 root ,和一个整数 k ,请你设计一个算法查找其中第 k 个最小元素
(从 1 开始计数)。
示例 1:

输入:root = [3,1,4,null,2], k = 1
输出:1
示例 2:

输入:root = [5,3,6,2,4,null,null,1], k = 3
输出:3
3. 解法二(中序遍历 + 计数器剪枝):
算法思路:
上述解法不仅使用大量额外空间存储数据,并且会将所有的结点都遍历一遍。
但是,我们可以根据中序遍历的过程,只需扫描前 k 个结点即可。
因此,我们可以创建一个全局的计数器 count,将其初始化为 k,每遍历一个节点就将 count--。直到某次递归的时候,count 的值等于 1,说明此时的结点就是我们要找的结果。
算法流程:
1. 定义一个全局的变量 count,在主函数中初始化为 k 的值(不用全局也可以,当成参数传入递归过程中);
递归函数的设计:int dfs(TreeNode* root):
•返回值为第 k 个结点;
递归函数流程(中序遍历):
1. 递归出口:空节点直接返回 -1,说明没有找到;
2. 去左子树上查找结果,记为 retleft:
a. 如果 retleft == -1,说明没找到,继续执行下面逻辑;
b. 如果 retleft != -1,说明找到了,直接返回结果,无需执行下面代码(剪枝);
3. 如果左子树没找到,判断当前结点是否符合:
a. 如果符合,直接返回结果
4. 如果当前结点不符合,去右子树上寻找结果。
Java算法代码:
class Solution {
int count;
int ret;
public int kthSmallest(TreeNode root, int k) {
count =k;
dfs(root);
return ret;
}
void dfs(TreeNode root){
if(root == null || count ==0) return ;
dfs(root.left);
count--;
if(count == 0 ) ret = root.val;
if(count == 0) return;
dfs(root.right);
}
}
执行结果:

递归展开:这里有一个细节,按照笔者这里的展开,实际上是没有进行我们预期的那种减枝(读者可以仔细阅读)--- 在dfs左子树之后去添加if(count == 0)return;也可以进行减枝,本题中多次进行减枝,请好好体会。

逻辑展开:
这道题目,建议好好的研究一下怎么去减枝,这道题不能想到中序遍历。解决方法容易想到,但是这里减枝,你得自己手动画画,才能更好的理解。
---------------------------------------------------------------------------------------------------------------------------------
记住,相信你的递归函数,它可以做到!
记住,不理解时候,去尝试手动展开!
记住,逻辑展开(你不可能对所有的题目都进行手动展开)!



















