含可再生能源的热电联供型微网经济运行优化matlab程序
参考文献:含可再生能源的热电联供型微网经济运行优化
热电联供系统具有节能! 环保! 经济等特点" 有着良好的发展前景和应用价值# 文中针对由 风电机组! 光伏电池! 燃料电池! 余热锅炉! 燃气锅炉! 蓄电池以及热电负荷构成的热电联供型微网 系统" 考虑风电! 光伏功率以及热电负荷的随机性" 应用机会约束规划理论建立经济运行优化模型" 并提出一种基于随机模拟技术的粒子群优化& 0 ) G ’ 算法求解模型# 根据不同的微源配置" 对系统 的运行方案进行优化# 实例分析结果表明" 所提出的方法可以提供微源优化配置建议" 实现微源动 态经济调度" 有效降低系统运行费用。
含可再生能源的 CHP 型微网系统

风电机组和光伏电池分别以风能和太阳能为原 动力作为可再生能源接入微网.
燃料电池和燃气锅炉以天然气为燃料 将化学能直接转化为电能和热 能.
余热锅炉回收燃料电池产生的废热。
蓄电池作为 储能装置根据系统运行情况# 实时进行充放电。
此 系统还与大电网进行双向的电功率流动。
当电能不 足时从大电网购买电能 。
当电能富足时向大电网销 售电能。
整个系统分成2个部分- 用户电负荷由风 电机组+ 光伏电池+ 燃料电池供给, 并可与大电网和 蓄电池进行双向功率交换。
用户热负荷由燃气锅炉 和余热锅炉供给。
含可再生能源的CHP型微网经济运行优 化模型
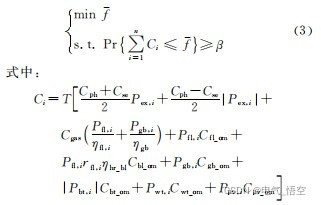
本文应 用 CCP 理 论 建 立 了 含 可 再 生 能 源 的 CHP 型微网经济运行优化模型# 以系统运行费用最 小化为目标# 综合考虑系统的能量平衡约束以及各 微源的运行约束# 对系统的运行方案进行优化。
目标函数

系统运行费用包括- 从大电网购电的费用. 燃料 电池+ 燃气锅炉的天然气使用费用. 风电机组+ 光伏 电池+ 燃料电池+ 余热锅炉+ 燃气锅炉+ 蓄电池等微源 的维护费用. 向大电网售电的收入% 由于目标函数 中含有风电+ 光伏功率等随机变量# 运行费用也是个随机量# 因此采用确定性的表达式没有意义%
matlab程序:

部分程序如下:
下面展示一些 内联代码片。
//部分程序如下:
%% 可再生能源热电联供微网经济运行 王锐
% 粒子群算法版
% 没有考虑随机性,然后把效率曲线视为常数
% 变量定义如下:
% 决策变量:燃料电池出力, 蓄电池出力, 电网交互功率和锅炉出力
% x=[Pfl(1*24), Pbt(1*24), Pex(1*24), Pgb(1*24)];
% liruixinch 12-7
clc;
clear;
close all;
%% 算法参数
parameter;
nVar=4*24; % Number of Decision Variables
VarMin=[ones(1,24)*Pfl_min, ones(1,24)*Pbt_min, ...
ones(1,24)*Pex_min, ones(1,24)*Pgb_min]; % Lower Bound of Variables
VarMax=[ones(1,24)*Pfl_max, ones(1,24)*Pbt_max, ...
ones(1,24)*Pex_max, ones(1,24)*Pgb_max]; % Upper Bound of Variables
MaxIt=500; % Maximum Number of Iterations
nPop=200; % Population Size (Swarm Size)
%% 计算
[ bestPosition, fitValue ] = ...
PSOFUN( @fun_objective,nVar,VarMin,VarMax,MaxIt,nPop );
x=bestPosition;
Pfl = x(1:24); % 燃料电池出力
Pbt = x(25:48); % 蓄电池出力
Pex = x(49:72); % exchange power
Pgb = x(73:96); % 燃气锅炉
...............省略
**
程序运行结果:
1.计算成本:

2.光伏出力:

3.风电出力:

4.热负荷:

5.电负荷:

6.电功率平衡:












![[acwing周赛复盘] 第 60 场周赛20220716](https://img-blog.csdnimg.cn/91063086883741c3b1f9b389fbcdd3da.png)







