IQ解调原理:接收端收到s(t)信号后,分为两路:
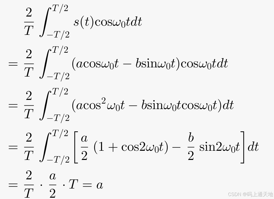
一路信号乘以cosω₀t再积分,就可以得到a:
另一路乘以 -sinω₀t再积分,就可以得到b:

IQ解调原理:接收端收到s(t)信号后,分为两路:
一路信号乘以cosω₀t再积分,就可以得到a:
另一路乘以 -sinω₀t再积分,就可以得到b:

本文来自互联网用户投稿,该文观点仅代表作者本人,不代表本站立场。本站仅提供信息存储空间服务,不拥有所有权,不承担相关法律责任。如若转载,请注明出处:http://www.coloradmin.cn/o/2331003.html
如若内容造成侵权/违法违规/事实不符,请联系多彩编程网进行投诉反馈,一经查实,立即删除!