如上文所说,JKind 使用了多个并行引擎,协调它们来证明需要检验属性。本文主要介绍 bounded model checking (BMC) 有界模型检验。其中会涉及到有关JKind的 K-induction (k归纳引擎)和 SMT求解机。
本来这些文章就是单纯就是自己的记录,能帮到别人更好,但是写的过程中由于自己的实验过程中的思想不能完整地保留下来,本来理解的东西,很难讲出来,但内容大概是理解的,导致了文章内容目前有些意识流。自己也不是很想写了,哎 归根结底就是菜。未来继续努力吧。
JKind - An infinite-state model checker for safety properties in Lustre
文章目录
- Ⅰ、背景概述
- model checking
- BMC
- SMT
- K-induction
- Ⅱ、理论知识
- Sexp
- 下近似和上近似(Under- and Over-approximation)
- 有界模型检验(BMC)
- SMT
- K-induction
- Ⅲ、JKind中的使用
- 测试文件
- 引擎输入
- 引擎流程图
- 运行结果
- 参考文献
Ⅰ、背景概述
model checking
模型检验以状态来模拟系统,自动检测系统的模拟运行是否满足某些期望的规范。但这其中存在着状态爆炸问题(state-explosion problem)。 模型检验首先需要给定一个系统和我们需要验证的属性,第一步将系统抽象成一个变迁系统,其后 model checking 算法会探索这个系统的每一个状态,来验证系统是否满足这个性质。而对于建模的结构就会很大,就会产生状态爆炸问题。
BMC
而 有界模型检验(BMC) 则可以通过设置界限阈值k,来有效地克服状态爆炸问题。自1999年问世以来,其有两个主要的优势:其优势之一BMC问题编码成 SAT 实例,充分利用 SAT工具进行求解 ,使验证变量数提升一个数量级以上;另一优势是BMC的求解过程向着不满足命题的方向发展,有利于得到长度最短、最简明的反例。(这一点也在JKind发表的会议论文中提到。)
在 Handbook of Model Checking 中有关 SAT 的章节中提到了BMC。在有界模型检验中,对于给定的步长 k,变迁系统和需要验证的属性被联合展开以获得一个公式,如果该属性存在长度为 k 的反例,则该公式为可满足的。 然后将公式传递给高效的SAT求解器。 即可得出其中的反例。也是由于BMC的特性,在JKind中,该引擎只用于验证那些无效的属性。

SMT
接下来再介绍可满足性模理论(Satisfiability Modulo Theory,SMT)。其是SAT问题扩展而来的,SAT问题为一个CNF是否为可满足的,而SMT则是决定一个数理逻辑公式是否为可满足的。其将可满足性问题推广到了实数,整数和各种包含了数据结构的复杂公式。在使用SMT时,我们可以假定存在一个SMT求解器。其输入为一个在某些特定理论片段下的一阶逻辑公式(SMT公式),最终输出该公式的可满足性。
JKind就使用SMT求解机来完成属性的验证和证伪。其求解机默认为 SMTInterpol,但也可选择 Z3, Yices 1, Yices 2, CVC4, and MathSA。我的个人学习是JKind的默认项,因为Java以及将其包含到了库中,学习起来较为简单吧,其他的求解机作者也进行了额外编写。
K-induction
最后需要提一点的是 k-Induction(k 归纳) engine。对于了解 K归纳,我们先复习数学归纳法。 其步骤如下。简单的例子有等差数列求和公式。其实普通数学归纳法是归纳原理的特殊情况。具体在下文中说明。
- 证明当n= 1时命题成立。
- 假设n=m时命题成立,那么可以推导出在n=m+1时命题也成立。(m代表任意自然数)
∃ n 0 ∈ Z + . P ( n 0 ) ( 1 ) b a s e c a s e ∀ n 1 ∈ Z + . P ( n 1 ) ⇒ P ( n 1 + 1 ) ( 2 ) s t e p c a s e ⇓ ∀ n ∈ Z + . n ≥ n 0 ⇒ P ( n ) \begin{array}{l}\exists n_{0} \in \mathbb{Z}^{+} . P\left(n_{0}\right) \hspace{5.13cm} (1) base\hspace{0.1cm}case\\\forall n_{1} \in \mathbb{Z}^{+} . P\left(n_{1}\right) \Rightarrow P\left(n_{1}+1\right) \hspace{3cm} (2) step\hspace{0.1cm}case\\\quad \Downarrow \\\forall n \in \mathbb{Z}^{+} . n \geq n_{0} \Rightarrow P(n)\end{array} ∃n0∈Z+.P(n0)(1)basecase∀n1∈Z+.P(n1)⇒P(n1+1)(2)stepcase⇓∀n∈Z+.n≥n0⇒P(n)
Ⅱ、理论知识
有关BMC的理论知识,我的理解是集合某位知乎大哥的文章 程序验证(7)- 有界程序验证 和各种网络资源以及 《Handbook of Model Checking》 了解的。特别是这位大佬的专栏,我个人觉得对于程序验证初学者是非常友好的了,其尽量将难度控制再本科生阶段,文章质量也很高,有兴趣的大家去看一下。
Sexp
S表达式,这一部分在最开始写的时候忘了,一看代码想起来了,这部分也比较重要。但是不想去加内容,感兴趣地结合代码与维基百科了解一下。
下近似和上近似(Under- and Over-approximation)
-
下近似思想用于于证明属性 P 对集合 S 中的某些元素不成立,即证伪。相比于上近似思想,下近似思想更加简单和容易理解。由于 S 集合难以准确表达,那我们就取S中容易表达的子集 S’ 进行分析。此时,如果 P 对于S’ 中的某些玩素不成立。显然, S’中的元素也是S中的元素。于是,我们在集合S上证伪了属性P。此可见,下近似思想非常朴素,但却也行之有效。
-
倘若我们希望证明某个性质P在某个集合S上成立,即 P 对 S 中的所有元素都成立: ∀ x x ∈ S ⇒ P ( x ) \forall x \hspace{0.5cm} x\in S\Rightarrow P(x) ∀xx∈S⇒P(x)而集合S的准确表达可能会很难获得。举例来说, 集合 S 表示某个程序运行过程中,访问数组a的下标变量i的取值集合(访问形式为a[i] ) ;而属性P则表示该程序运行时对数组a的访问不会发生越界(Buffer Overflow/Underflow),即 P ≜ 0 ≤ i < a . length. P \triangleq 0 \leq i<a . \text { length. } P≜0≤i<a. length. 如果程序逻辑比较复杂,尤其在循环中变量i取值变化无常时,我们将很难获得集合S的准确表示。这将导致我们难以直接证明属性 P 在集合 S 上成立。
因此,对于这种情况,我们可以换种思路,试图寻找一个便于表达的集合S’ ,使得S’是S的超集(Superset),即 S ⊆ S ′ 。同时,我们能证明属性P在S’上是成立的。
那么, 我们就间接地证明了P在S上成立。这个思想比较简单,也很容易证明其正确性。假设P在S’ 上成立,且 S ∈ S’ ,那么对于每一 个S中的元素x,都有x在S’中,所以P(x )成立。 从而我们可以推导出P(x)在S.上也成立。
有界模型检验(BMC)
有界程序检验(Bounded Model Checking)是一种自动化能力极强的验证算法。 其是一种将验证问题转化为一阶逻辑公式求解的朴素方法。它依赖于下近似思想,对于程序中执行次数未定的循环(无界循环,Unbounded Loop,指不能从代码中轻易得出其执行次数的循环),尝试将其展开固定次数进行分析。
对于一个带有无界循环的程序而言,在它实际的执行路径集合中,循环可能执行 {0, 1 , 2 , 3 , … n } 次(记为集合 S)。在对其应用有界程序验证时,假定将循环展开 K次,那么实际上只取了循环执行**{0, 1 , 2 , 3 , … K }**次的路径(记为集合 S’ )进行分析。 这显然有 S’ 是 S 的真子集 ,所以有界程序验证是一种下近似验证算法。
现在以一个实际的例子,(该示例来自于多伦多大学2018年的课件SAT and Model Checking)来看BMC算法。
给予了一个变迁系统M,时序逻辑公式 f 和一个用户所给出的步长 k 。现在构造一个命题逻辑公式 Ω(k),其为可满足的 当且仅当 f 沿长度为k的路径有效。

系统的状态在 k 的步长内就可以构造出如上图所示的形式。其中S0为系统的初始状态,R 代表了转换关系,系统的状态从Si 可以转换成 Si+1 。
如果需要验证的 f 为 f = EF p(存在一条路径未来会使得 p 成立) 并且 k = 2。问题就变成了存在一条路径使得未来存在 p。那么 Ω 就变成了
如果 f = AG p,表示 p 在沿着长度为k的任何路径的每个状态下都必须成立。我们通过一个简单的数理逻辑变换即可得到。f 表示了p总是成立,那么 Ω 的非则表示 如果k可达,则成立。变换后得到如下式子。
由此可以看出,使用BMC可以证伪某个属性来进行系统的安全性检验。
至此 BMC 就转化为了一个 SAT问题。
SMT
有了SAT之后,为了求解更大范围的公式,而不仅仅是CNF,就将程序其转化成一阶逻辑公式,再进行求解。JKind的默认求解机为 SMTInterpol。大致内容上文已经说过了,如果细说,这部分也较为赋值,因此不进行赘述。
K-induction
首先用自然数( 包括了0 )考虑以下标准的归纳原理:当 P(0)成立时,对于任意的n来说,P(n)成立,则P(n+1)成立,则推导出对于任意的 n 来说,P(n)成立。这就是上文提到的标准的数学归纳法。为 k=1 时的k 归纳法的特殊情况。

而当我们使用 2 - induction 来证明 ∀n P(n) 时,如下所示

综上所述,K-induction 的归纳公式如下:感觉莫名喜感

接下来说明 K-induction 是否比 标准的数学规范更好。答案纯粹是务实的:Ak 在实践中可能比 A1 更容易证明:Ak 的第二个合取里的蕴涵,有一个随着 k 增加而变得更强的前提,所以我们有更多的工作要做。 相反,结果 P(n + k) 始终是需要证明的 P 的单个实例。
Ak 的第一个合取,其基本情况,也随着 k 的增加而变得更强,因此需要“更多的证据”,但一事实无关紧要,因为谓词 P 的参数是常数。(以上内容翻译自The k-Induction Principle)
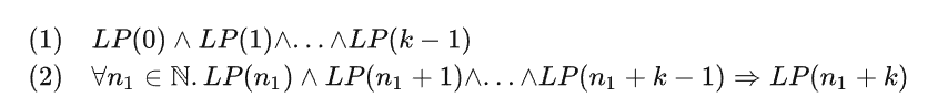
根据以上的内容,将BMC 和 K-induction结合起来看,我们就需要完成如下的证明。我们使用 LP(n)表示需要证明的属性。证明的目标为∀n ≥0 LP(n)。如果使用 k归纳法 ,则我们根据上述的 Ak得出需要证明的两个公式。

后续步骤看这么大佬的文章吧,因为我真的不行了。程序验证(8)- k归纳法,我将上诉内容用简短,但不一明了的话概括一下:为了证明(1)式,我们需要将程序展开k-1次即可,倘若展开发现了程序中的错误,由于有界程序验证是下近似算法,这代表程序本身存在一条真实的错误路径,直接返回该错误路径即可。 而倘若 k - 1 次展开没有发现错误,那么我们完成了对Base Case的证明,可以继续证明后续的Step Case,使用不变式(注意JKind的引擎结构图,其余的引擎都会向 K-induction 传入不变量)继续对程序进行展开即可。
Ⅲ、JKind中的使用
测试文件
为了更好地理解单个引擎的作业,我将其他引擎进行了禁用,只看 JKind 中 BMC 的运行过程。注意由于BMC只能证伪属性,那些有限的属性其实无法正常运行结束的。如 array.lus 文件中的 ok1 是会导致JKind运行超时的。实验过程中主要使用了 farmer.lus 进行测试。其就是一个简单的狼羊菜渡河问题。
经过上面的解释,对 BMC 验证的过程有了了解之后,看文件内需要验证的属性 prop。关键点在于其中的 not,该属性的含义为 (谁都没有被吃 且 所以东西完成过河 )的 非。该属性明显是错误的,因为狼羊菜问题是有解的。
对于JKind的命令代码如下所示:
-jkind -no_inv_gen -no_k_induction -pdr_max 0 testing/farmer.lus
引擎输入
书接JKind入门(一),完成文件的输入后,Translate 将源代码通过内联变成了 model checker 所阅读的代码,也就是展开。如下图所示:wolf的值等于boat节点的第一次(下标为0)调用的输出 result;其输入choice 和 object 分别为 main节点的输入 choice 和 1。(这个 1 是因为该段程序涉及到了自定义的枚举数据类型,输入的Wolf 在枚举数据类型的下标为1 )

其他同理。之后使用 Specification 生成依赖映射,在使用getAnalysisSpec 完成对于分析代码的精简,除去了简单表达式。(常量表达式 以及 id表达式)如图,此时等式减少到了14条。这14条等式也就是BMC处理的内容。

引擎流程图
引擎的执行过程如下所示,其中拥有大量的 assert 语句,保证了程序的正确执行。由于过程中涉及的类过多,过于复杂,便在流程图中仅涉及到了方法名。在实验过程中,通过debug模式进入了SMTinterpol的库文件中,我的Java版本为11 ,其底层就是SAT,而且算法方面是DPLL,个人以为会是其升级版的的CDCL,当时更新库文件的时候,该算法认可度还没有那么高?无所谓了。对于JKind来说,由于BMC是K-induction的base case,且k-induction本身也可以验证属性,两者应该就是JKind的核心了,其余引擎加快了JKind处理效率。
之后个人最感兴趣的就是PDR引擎了,回去会浅浅地研究一下。同样,如果本文出现了某些错误,或者理解性的问题,希望各位可以dd我,指正我。有相关研究兴趣的朋友也欢迎来找我玩。
最后 wish u all the best.

运行结果

参考文献
- S表达式 维基百科
- SMT 维基百科
- 程序验证(7)- 有界程序验证
- 程序验证(8)- k归纳法
- SAT and Model Checking 多伦多大学
- The k-Induction Principle 西北大学
- The JKIND Model Checker
- 有界模型检验综述[J]. 电脑知识与技术, 2017(12X):2.
- Clarke, E.M., Henzinger, Th.A., Veith, H., Bloem, R. (Eds.). Handbook of Model Checking. 2018.



















