本文是实验设计与分析(第6版,Montgomery著,傅珏生译) 第5章析因设计引导5.7节思考题5.2 R语言解题。主要涉及方差分析,正态假设检验,残差分析,交互作用。


dataframe<-data.frame(
Surface=c(74,64,60,92,86,88,99,98,102,79,68,73,98,104,88,104,99,95,82,88,92,99,108,95,108,110,99,99,104,96,104,110,99,114,111,107),
Depth=gl(4, 9,36),
Feed=gl(3, 3, 36))
summary (dataframe)
dataframe.aov2 <- aov(Surface ~ Depth * Feed,data= dataframe)
summary (dataframe.aov2)
> summary (dataframe.aov2)
Df Sum Sq Mean Sq F value Pr(>F)
Depth 3 2125.1 708.4 24.663 1.65e-07 ***
Feed 2 3160.5 1580.2 55.018 1.09e-09 ***
Depth:Feed 6 557.1 92.8 3.232 0.018 *
Residuals 24 689.3 28.7
---
Signif. codes: 0 ‘***’ 0.001 ‘**’ 0.01 ‘*’ 0.05 ‘.’ 0.1 ‘ ’ 1
with(dataframe,interaction.plot(Depth, Feed, Surface,type="b",pch=19,fixed=T,xlab="Depth ",ylab=" Surface "))

plot.design(Surface ~Depth* Feed,data= dataframe)



fit <-lm(Surface~Depth*Feed,data=dataframe)
anova(fit)
> anova(fit)
Analysis of Variance Table
Response: Surface
Df Sum Sq Mean Sq F value Pr(>F)
Depth 3 2125.11 708.37 24.6628 1.652e-07 ***
Feed 2 3160.50 1580.25 55.0184 1.086e-09 ***
Depth:Feed 6 557.06 92.84 3.2324 0.01797 *
Residuals 24 689.33 28.72
---
Signif. codes: 0 ‘***’ 0.001 ‘**’ 0.01 ‘*’ 0.05 ‘.’ 0.1 ‘ ’ 1
summary(fit)
> summary(fit)
Call:
lm(formula = Surface ~ Depth * Feed, data = dataframe)
Residuals:
Min 1Q Median 3Q Max
-8.6667 -3.6667 -0.3333 3.5833 8.0000
Coefficients:
Estimate Std. Error t value Pr(>|t|)
(Intercept) 66.0000 3.0942 21.330 < 2e-16 ***
Depth2 7.3333 4.3759 1.676 0.10675
Depth3 21.3333 4.3759 4.875 5.70e-05 ***
Depth4 33.6667 4.3759 7.694 6.25e-08 ***
Feed2 22.6667 4.3759 5.180 2.64e-05 ***
Feed3 33.6667 4.3759 7.694 6.25e-08 ***
Depth2:Feed2 0.6667 6.1884 0.108 0.91511
Depth3:Feed2 -9.3333 6.1884 -1.508 0.14456
Depth4:Feed2 -18.0000 6.1884 -2.909 0.00770 **
Depth2:Feed3 -7.6667 6.1884 -1.239 0.22737
Depth3:Feed3 -15.3333 6.1884 -2.478 0.02065 *
Depth4:Feed3 -22.6667 6.1884 -3.663 0.00123 **
---
Signif. codes: 0 ‘***’ 0.001 ‘**’ 0.01 ‘*’ 0.05 ‘.’ 0.1 ‘ ’ 1
Residual standard error: 5.359 on 24 degrees of freedom
Multiple R-squared: 0.8945, Adjusted R-squared: 0.8461
F-statistic: 18.49 on 11 and 24 DF, p-value: 4.111e-09
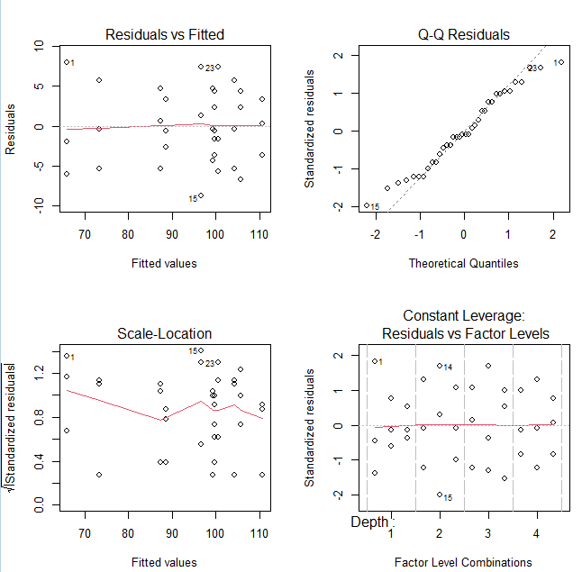
par(mfrow=c(2,2))
plot(fit)

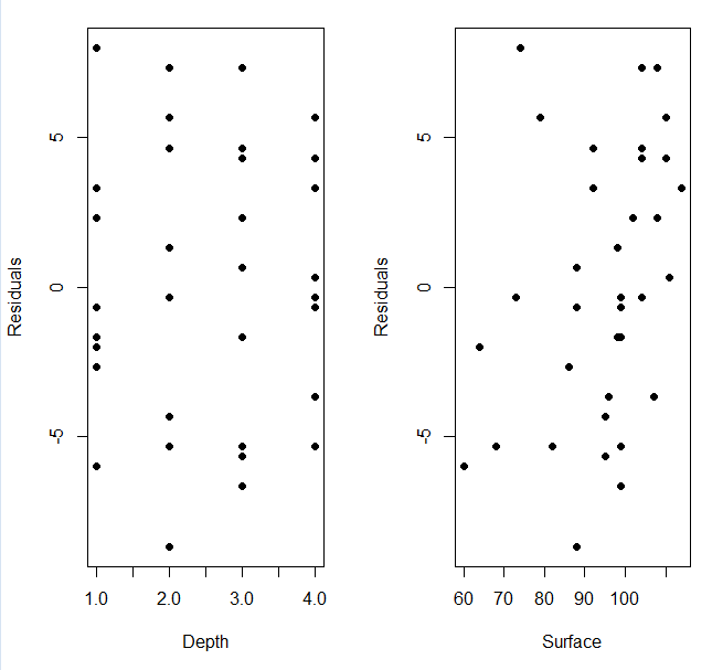
par(mfrow=c(1,2))
plot(as.numeric(dataframe$Depth), fit$residuals, xlab="Depth", ylab="Residuals", type="p", pch=16)
plot(as.numeric(dataframe$Surface), fit$residuals, xlab="Surface", ylab="Residuals", pch=16)





















