目录
一、概念
二、AVL树的模拟实现
2.1 AVL树节点定义
2.2 AVL树的基本结构
2.3 AVL树的插入
1. 插入步骤
2. 调节平衡因子
3. 旋转处理
4. 开始插入
2.4 AVL树的查找
2.5 AVL树的删除
1. 删除步骤
2. 调节平衡因子
3. 旋转处理
4. 开始删除
结语
一、概念
二叉搜索树查找效率为O(logN),但如果数据有序或接近有序二叉搜索树将退化为单支树,查找元素相当于在顺序表中搜索元素,效率变为O(N),效率低下。
因此,两位俄罗斯的数学家G.M.Adelson-Velskii和E.M.Landis在1962年发明了一种解决上述问题的方法:当向二叉搜索树中插入新节点后,如果能保证每个节点的左右子树高度之差的绝对值不超过1(超过则需要对树中的节点进行调整),即可降低树的高度,从而减少平均搜索长度。
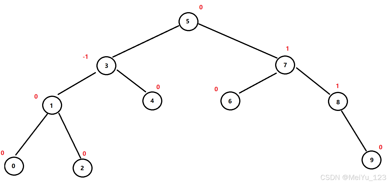
AVL树具有以下特点:
- 它的左右子树都是AVL树
- 左右子树高度之差(简称平衡因子)的绝对值不超过1(-1/01)
平衡因子的取值由自己规定,在这里为了模拟实现,规定左子树的高度在根结点中为负值,右子树的高度在根结点中为正值,即平衡因子= 右子树高度 - 左子树高度。

二、AVL树的模拟实现
2.1 AVL树节点定义
template<class K, class V>
struct AVLTreeNode
{
AVLTreeNode<K, V>* _left; // 该节点的左孩子
AVLTreeNode<K, V>* _right; // 该节点的右孩子
AVLTreeNode<K, V>* _parent; // 该节点的父结点
pair<K, V> _kv;
int _bf; // 该节点的平衡因子
AVLTreeNode(const pair<K, V>& kv)
:_left(nullptr)
,_right(nullptr)
,_parent(nullptr)
,_kv(kv)
,_bf(0)
{}
};
2.2 AVL树的基本结构
template <class K, class V>
class AVLTree
{
typedef AVTreeNode<K, V> Node;
public:
bool Insert(const std::pair<K, V>& kv);
bool Find(const K& key);
bool Erase(const K& key);
private:
Node* _root = nullptr;
};
2.3 AVL树的插入
1. 插入步骤
- 按照二叉搜索树的方式插入新节点
- 调整节点的平衡因子
2. 调节平衡因子
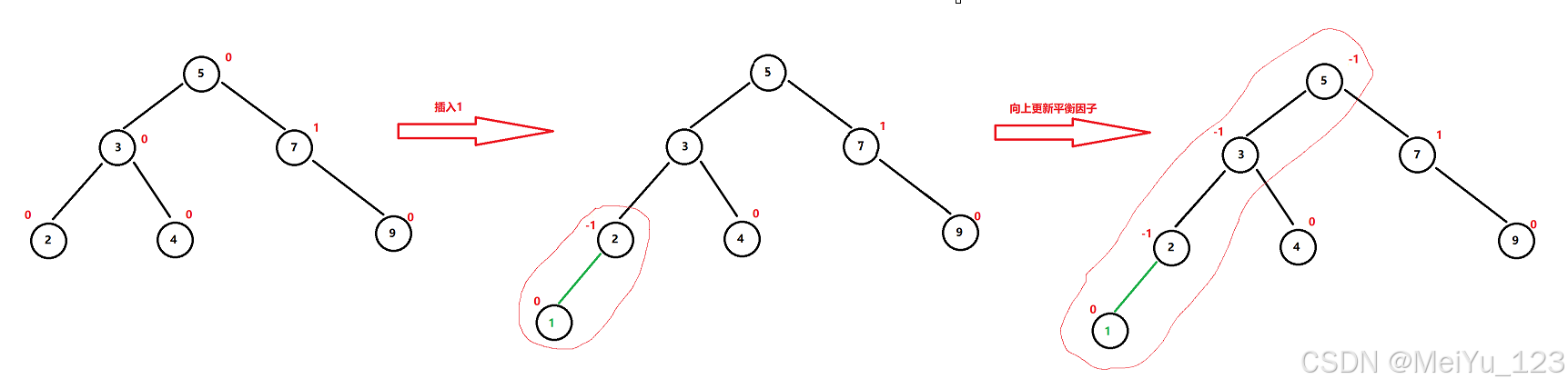
插入节点后,会影响该节点到根节点这一条路径上节点的平衡因子,因此需要进行迭代,将这一条路径上的平衡因子更新。
步骤:
第一步: 对插入的节点的父节点进行更新,会发生两种情况:
- 如果插入的是根节点,则无父节点,不用更新。
- 如果插入的是父节点的左节点,则父节点的平衡因子-1;如果插入的是父节点的右节点,则父节点的平衡因子+1。
第二步: 父节点的平衡因子在插入节点后会有三种变化,也对应着三种措施:
- 父节点的平衡因子变为0,则说明在插入前两颗子树高度相差1,插入后整体的高度没有发生变化,不需要向上继续调整。
- 父节点的平衡因子变为-1或1,则说明在插入前两颗子树高度相等,插入后整体的高度+1,需要对父节点的父节点的平衡因子进行更新,这样就回到了步骤一。
- 父节点的平衡因子变为-2或2,则说明在插入前两个子树高度相差1,且插入的节点为高度较高的那颗子树的叶子节点,这导致了高度相差变为2,需要进行旋转处理,降低树的高度,从而达到平衡整颗树的要求。
图解:
第一种情况:

第二种情况:

可以看到这里在更新平衡因子的时候,只会影响节点到根节点路径上的节点的平衡因子,其它的节点不需要考虑。
第三种情况:

更新平衡因子的时候,发现不满足规则后,直接停止更新,转而进行旋转处理。
3. 旋转处理
旋转有四种情况:
第一种情况:右单旋
新节点插入到较高左子树的左侧,左侧的高度变高需要将右边的调整下来,因此叫做右单旋。
具体操作:
让subL的右孩子成为parent的左孩子,然后让parent成为subL的右孩子,最后把两个节点的平衡因子修改为0。
图解:

实现代码:
void RotateR(Node* parent)
{
Node* subL = parent->_left;
Node* subLR = subL->_right;
// 1.先让把subL的右边作为parent的左边
parent->_left = subLR;
// 2.如果subLR不为空,就让subLR的父指针指向parent
if (subLR)
subLR->_parent = parent;
// 3.记录parent的父节点的位置,然后把parent作为subL的右边
Node* pParent = parent->_parent;
subL->_right = parent;
// 4.parent的父指针指向subL
parent->_parent = subL;
// 5.如果ppNode为空,说明subR现在是根节点,就让subL的父指针指向nullptr
// 不是根节点就把subL的父指针指向parent的父节点,parent的父节点(左或右)指向subL
if (pParent == nullptr)
{
// 更新根节点
_root = subL;
subL->_parent = nullptr;
}
else
{
// 判断parent是pparent的左还是右
if (pParent->_left == parent)
pParent->_left = subL;
else
pParent->_right = subL;
subL->_parent = pParent;
}
// 6.把parent和subL的平衡因子更新为0
subL->_bf = parent->_bf = 0;
}
第二种情况:左单旋
新节点插入到较高右子树的右侧,右侧的高度变高需要将左边的调整下来,因此叫做右单旋。
具体操作:
让subR的左孩子成为parent的右孩子,然后让parent成为subR的左孩子,最后把两个节点的平衡因子修改为0。
图解:

实现代码:
void RotateL(Node* parent)
{
Node* subR = parent->_right;
Node* subRL = subR->_left;
// 1.先让把subR的左边作为parent的右边
parent->_right = subRL;
// 2.如果subRL不为空,就让subRL的父指针指向parent
if (subRL)
subRL->_parent = parent;
// 3.先记录parent的父节点的位置,然后把parent作为subR的左边
Node* pParent = parent->_parent;
subR->_left = parent;
// 4.parent的父指针指向subR
parent->_parent = subR;
// 5.如果ppNode为空,说明subR现在是根节点,就让subR的父指针指向nullptr
// 不是根节点就把subR的父指针指向parent的父节点,parent的父节点(左或右)指向subR
if (pParent == nullptr)
{
// 更新根节点
_root = subR;
subR->_parent = nullptr;
}
else
{
// 判断parent是ppNode的左还是右
if (pParent->_left == parent)
pParent->_left = subR;
else
pParent->_right = subR;
subR->_parent = pParent;
}
// 6.把parent和subR的平衡因子更新为0
subR->_bf = parent->_bf = 0;
}
第三种情况:左右双旋
新节点插入在较高左子树右侧,这里和第一种情况的区别就是前者是直线,后者是折线
具体操作:
先对subL进行一个左单旋,然后对parent进行右单旋,修改平衡因子,有三种改法。三个节点从左至右的三个节点一次是:subL、subLR和parent。
如果subLR的平衡因子为0,就将它们依次改为0,0, 0;
如果subLR的平衡因子为1,就将它们依次改为-1,0, 0;
如果subLR的平衡因子为-1,就将它们依次改为0,0, 1。
图解:(这里只画出了一种情况,剩下的类似)

实现代码:
void RotateLR(Node* parent)
{
Node* subL = parent->_left;
Node* subLR = subL->_right;
int bf = subLR->_bf;// 保留subLR的平衡因子的值,方便知道新插入的节点是在subLR的左子树还是右子树
// 旋转 先对subL进行左旋转,再对parent进行右旋转
RotateL(subL);
RotateR(parent);
// 从左到右 subL subLR parent
if (bf == -1)// subLR的左子树 bf: 0 0 1
{
subL->_bf = 0;
subLR->_bf = 0;
parent->_bf = 1;
}
else if (bf == 1)// subLR的右子树 bf: -1 0 0
{
subL->_bf = -1;
subLR->_bf = 0;
parent->_bf = 0;
}
else if (bf == 0)
{
subL->_bf = 0;
subLR->_bf = 0;
parent->_bf = 0;
}
}
第四种情况:右左单旋
新节点插入在较高右子树左侧,这里和第二种情况的区别就是前者是直线,后者是折线
具体操作:
先对subR进行一个右单旋,然后对parent进行左单旋,修改平衡因子,有三种改法。三个节点从左至右的三个节点一次是:parent、subRL和subR。
如果subRL的平衡因子为0,就将它们依次改为0,0, 0;
如果subRL的平衡因子为1,就将它们依次改为-1,0, 0;
如果subRL的平衡因子为-1,就将它们依次改为0,0, 1。
图解:(这里只画出了一种情况,剩下的类似)

实现代码:
void RotateRL(Node* parent)
{
Node* subR = parent->_right;
Node* subRL = subR->_left;
int bf = subRL->_bf;// 保留subRL的平衡因子的值,方便知道新插入的节点是在subRL的左子树还是右子树
// 旋转 先对subR进行右旋转,再对parent进行左旋转
RotateR(subR);
RotateL(parent);
// 从左到右 parent subRL subR
if (bf == -1)// subRL的左子树 bf: 0 0 1
{
parent->_bf = 0;
subRL->_bf = 0;
subR->_bf = 1;
}
else if (bf == 1)// subRL的右子树 bf: -1 0 0
{
parent->_bf = -1;
subRL->_bf = 0;
subR->_bf = 0;
}
else if (bf == 0)
{
parent->_bf = 0;
subRL->_bf = 0;
subR->_bf = 0;
}
}
4. 开始插入
bool Insert(const pair<K, V>& kv)
{
// 先按照二叉搜索数一样插入元素
// 无节点是插入
if (_root == nullptr)
{
_root = new Node(kv);
return true;
}
// 有节点时插入
Node* parent = nullptr;
Node* cur = _root;
while (cur)
{
parent = cur;
// 小于往左走
if (kv.first < cur->_kv.first)
{
cur = cur->_left;
}
// 大于往右走
else if (kv.first > cur->_kv.first)
{
cur = cur->_right;
}
else
{
// 找到了,就返回false
return false;
}
}
cur = new Node(kv);
// 判断cur应该插在parent的左还是右
// 小于在左,大于在右
if (cur->_kv.first < parent->_kv.first)
{
parent->_left = cur;
cur->_parent = parent;
}
else
{
parent->_right = cur;
cur->_parent = parent;
}
// 更新parent的平衡因子
// 节点的插入只会影响cur的祖先的平衡因子(不是所有的,是一部分,分情况)
while (parent)
{
// 更新parent的平衡因子
// cur在parent的左,parent->_bf--
// cur在parent的右,parent->_bf++
if (cur == parent->_left)
parent->_bf--;
else
parent->_bf++;
// bf 可能为 -2、-1、0、1、2
if (parent->_bf == 0)
{
// 对上层无影响,退出
break;
}
else if (parent->_bf == -1 || parent->_bf == 1)
{
// 对上层有影响,迭代更新
cur = parent;
parent = parent->_parent;
}
else
{
// 平衡树出现了问题,需要调整
// 1.右边高,左旋转调整
if (parent->_bf == 2)
{
// 如果是一条直线==>左旋转即可
// 如果是一条折线==>右左旋转
if (cur->_bf == 1)
RotateL(parent);
else if (cur->_bf == -1)
RotateRL(parent);
}
// 2.左边高,右旋转调整
else if (parent->_bf == -2)
{
// 如果是一条直线==>右旋转即可
// 如果是一条折线==>左右旋转
if (cur->_bf == -1)
RotateR(parent);
else if (cur->_bf == 1)
RotateLR(parent);
}
// 调整后是平衡树,bf为0,不需要调整了
break;
}
}
return bool;
}
2.4 AVL树的查找
与二叉搜索树的过程一致,这里就不多解释了,直接上代码:
bool Find(const K& key)
{
if (_root == nullptr)
return false;
Node* cur = _root;
while (cur)
{
// 小于往左走
if (key < cur->_kv.first)
{
cur = cur->_left;
}
// 大于往右走
else if (key > cur->_kv.first)
{
cur = cur->_right;
}
else
{
// 找到了
return true;
}
}
return false;
}
2.5 AVL树的删除
1. 删除步骤
- 我们先按照二叉搜索树树删除节点的方式,删除节点。
- 根据对应删除情况更新平衡因子,更新平衡因子的方法与插入的更新方法是相反的。
2. 调节平衡因子
步骤:
第一步:
- 删除节点后,如果删除的节点为根节点,就结束。
- 如果删除节点是父节点的左孩子,那么父节点的平衡因子加1;删除节点是父节点的右孩子,那么父节点的平衡因子减1。
第二步:父节点的平衡因子在插入节点后会有三种变化,也对应着三种措施:
- 父节点的平衡因子变为0,则说明删除前父亲的平衡因子为1或-1,多出一个左节点或右节点,删除节点后,左右高度相等,整体高度减1,对上层有影响,需要继续调节。
- 父节点的平衡因子变为-1或1,则说明删除前父亲的平衡因子为0,左右高度相等,删除节点后,少了一个左节点或右节点,但是整体高度不变,对上层无影响,不需要继续调节。
- 父节点的平衡因子变为-2或2,则说明删除前父亲的平衡因子为-1或1,多了一个左节点或一个右节点,删除了一个右节点或左节点,此时多了两个左节点和右节点,这棵子树一边已经被拉高了,此时这棵子树不平衡了,需要旋转处理。
3. 旋转处理
这里的旋转与插入时旋转的没有区别,就不详细解答了,直接上代码。
4. 开始删除
bool Erase(const K& key)
{
if (_root == nullptr)
return false;
// 有节点时插入
Node* parent = nullptr;
Node* cur = _root;
while (cur)
{
// 小于往左走
if (key < cur->_kv.first)
{
parent = cur;
cur = cur->_left;
}
// 大于往右走
else if (key > cur->_kv.first)
{
parent = cur;
cur = cur->_right;
}
else
{
// 找到了
// 1.左边为空,把parent指向cur的右
// 2.右边为空,把parent指向cur的左
// 3.左右都不为空,用右子树的最左边的节点的值替换要删除的节点,然后转换为用1的情况删除该节点
if (cur->_left == nullptr)
{
if (cur == _root)
{
_root = cur->_right;
delete cur;
break;
}
else
{
if (parent->_left == cur)
{
parent->_left = cur->_right;
parent->_bf++;
}
else
{
parent->_right = cur->_right;
parent->_bf--;
}
}
if (parent->_bf != -1 && parent->_bf != 1)
UpdateBf(parent);
delete cur;
}
else if (cur->_right == nullptr)
{
if (cur == _root)
{
_root = cur->_left;
delete cur;
break;
}
else
{
if (parent->_left == cur)
{
parent->_left = cur->_left;
parent->_bf++;
}
else
{
parent->_right = cur->_left;
parent->_bf--;
}
}
if (parent->_bf != -1 && parent->_bf != 1)
UpdateBf(parent);
delete cur;
}
else
{
Node* rightMinParent = cur;
Node* rightMin = cur->_right;// 先去右子树
while (rightMin->_left)
{
rightMinParent = rightMin;
rightMin = rightMin->_left;// 一种往左走
}
cur->_kv = rightMin->_kv;
// 替代删除
// 删除minNode 第一种情况:左节点为空
if (rightMinParent->_left == rightMin)
{
rightMinParent->_left = rightMin->_right;
rightMinParent->_bf++;
}
else
{
rightMinParent->_right = rightMin->_right;
rightMinParent->_bf--;
}
if (rightMinParent->_bf != -1 && rightMinParent->_bf != 1)
UpdateBf(rightMinParent);
delete rightMin;
}
return true;
}
}
return false;
}
void UpdateBf(Node* parent)
{
if (parent == nullptr)
return;
Node* cur = parent;
goto first;
while (parent)
{
// 更新parent的平衡因子
// cur在parent的左,parent->_bf++
// cur在parent的右,parent->_bf--
if (cur == parent->_left)
parent->_bf++;
else
parent->_bf--;
// bf 可能为 -2、-1、0、1、2
first:
if (parent->_bf == 0)
{
// 对上层有影响,迭代更新
// 如果parent是根节点就结束
if (parent->_parent == nullptr)
break;
cur = parent;
parent = parent->_parent;
}
else if (parent->_bf == -1 || parent->_bf == 1)
{
// 对上层无影响,退出
break;
}
else
{
// 平衡树出现了问题,需要调整
// 1.右边高,左旋转调整
if (parent->_bf == 2)
{
// 如果是一条直线==>左旋转即可
// 如果是一条折线==>右左旋转
if (parent->_right->_bf == 1)
{
RotateL(parent);
cur = parent->_parent;
parent = cur->_parent;
continue;
}
else if (parent->_right->_bf == -1)// 调整后 p sL s 如果sL是1或-1可以退出
{
Node* s = parent->_right;
Node* sL = s->_left;
RotateRL(parent);
// 不平衡向上调整
if (sL->_bf != 1 && sL->_bf != -1)
{
cur = sL;
parent = cur->_parent;
continue;
}
}
else if (parent->_right->_bf == 0) // 平衡因子修改
{
RotateL(parent);
parent->_bf = 1;
parent->_parent->_bf = -1;
}
}
// 2.左边高,右旋转调整
else if (parent->_bf == -2)
{
// 如果是一条直线==>右旋转即可
// 如果是一条折线==>左右旋转
if (parent->_left->_bf == -1)
{
RotateR(parent);
cur = parent->_parent;
parent = cur->_parent;
continue; //parent不是-1或1就继续
}
else if (parent->_left->_bf == 1)// 调整后 s sR p 如果sL是1或-1可以退出
{
Node* s = parent->_left;
Node* sR = s->_right;
RotateLR(parent);
// 不平衡向上调整 为0时如果parent为根
//if (sR->_bf != 1 && sR->_bf != -1)
{
cur = sR;
parent = cur->_parent;
continue;
}
}
else if (parent->_left->_bf == 0) // 平衡因子修改
{
RotateR(parent);
parent->_parent->_bf = 1;
parent->_bf = -1;
}
}
// 调整后是平衡树,bf为1或-1,不需要调整了
break;
}
}
}
结语
上面这些是AVL树的大致内容,其中旋转是有些难的地方,但是面试会考察,需要着重掌握,而删除是二叉搜索树的删除加上旋转的叠加,难度更上一层了,这里如果没能理解,可以自己画一画图,并且配合着插入的图来分析,应该会有所帮助。
下一篇将会介绍二叉搜索树的另一种改良:红黑树,有兴趣的朋友可以关注一下。



















