昨天打完蓝桥杯本来想写个 p y t h o n python python A A A 组的题解,结果被队友截胡了。今天上课把 C + + A C++A C++A 组的题看了,感觉挺简单的,所以来水一篇题解。
这场 B B B 是一个爆搜, C C C 利用取余的性质比较好写, D D D 是个猜猜题,当然如果模拟也是可以的, E G EG EG 是数学, F H FH FH 需要预处理。 H H H 是基环树,需要拓扑排序+单调队列维护区间最大值。
p y t h o n python python 和 c + + c++ c++ 相比,我觉得 c + + c++ c++ 组的题要更简单(可能也有我 p y t h o n python python 不太熟悉的原因)。 p y t h o n python python 组全是暴力,我还暴力苦手,最后三题分别是爆搜剪枝,单调栈优化+并查集,反悔贪心。 c + + c++ c++ 组只有 B B B 是暴力,大部分是偏思维和算法,打多了 a c m acm acm 当然会觉得简单一些。
因为没有 O J OJ OJ,所以我也不能保证思路和代码一定正确,仅当作参考,欢迎斧正。
Python A组题解
注:A-H在洛谷测试全部通过,但是洛谷民间数据较弱,不排除会有bug
A 寻找质数
题面:
第 2025 2025 2025 个质数是多少?
思路:
直接从小到大暴力枚举每一个数,判断是否是素数,到第 2025 2025 2025 个停止就可以了。
n n n 个数里大概有 n ln n \dfrac{n}{\ln n} lnnn 个数是素数, ln n \ln n lnn 大概也就是十几,所以不需要担心越界问题。
code:
#include <iostream>
#include <cstdio>
#include <vector>
using namespace std;
vector<int> primes;
bool check(int n){
if(n==1)return false;
for(int i=2;i*i<=n;i++)
if(n%i==0)
return false;
return true;
}
int main(){
for(int i=2;primes.size()<2025;i++)
if(check(i))
primes.push_back(i);
cout<<primes.back();
return 0;
}
B 黑白棋
题面:

给你一个 6 × 6 6\times 6 6×6 的棋盘,有的位置一开始就填有棋子,其余格子需要你进行填充,要求:
- 每一行,每一列均只有三个白棋,三个黑棋
- 在某一行或某一列中,不能出现三个同色棋子连续的情况
- 每一行棋子排列方式唯一,与其他行各不相同。同理每一列。行列之间不受限制。
题目保证有唯一解。按照以下格式输出答案:
黑色棋子用
1
1
1 表示,白色棋子用
0
0
0 表示。
从左到右、从上到下的顺序,依次遍历棋盘上的所有格子,并将这些值拼接成一个长度为
36
36
36 的字符串。
思路1:
暴力枚举所有状态,然后判断状态是否成立。
枚举除了已经确定的位置以外的位置的落子情况(总共有 26 26 26 个位置),每个位置只有两种情况(放白棋或者放黑棋),所以总的可能数是 2 26 ≈ 6 × 1 0 8 2^{26}\approx 6\times 10^8 226≈6×108。
枚举到一种状态后,将已经确定的位置的状态加入枚举的状态中。然后判断状态是否成立即可。
总的时间复杂度大概是 总可能数 × \times × (加入已经确定的位置的状态 + + + 判断),后面这个东西的时间复杂度是一个大常数,预估大概也就是 100 100 100。所以能跑动,就是慢一点。
code:
跑了 139 139 139 秒
#include <iostream>
#include <cstdio>
#include <cstring>
#include <set>
using namespace std;
typedef long long ll;
void print(string s){
for(int i=0;i<6;i++,puts(""))
for(int j=0;j<6;j++)
cout<<s[i*6+j]<<" ";
}
string b2s(ll n){//二进制转string
string s;
for(ll i=0;i<36;i++)
s+="01"[(n>>i)&1];
return s;
}
int s2b(string s){//string转二进制
ll n=0;
for(auto x:s)
n=(n<<1)+(x-'0');
return n;
}
int idx[]={0,1,3,9,16,17,26,29,31,34};
int colors[]={1,0,0,0,0,0,1,1,0,1};//1,1,1,1,1,1,1,1,1,1
string treat(string s){
s=s.substr(0,26);//因为在加入10个固定位置的状态前只有26位
for(int i=0;i<10;i++){
int id=idx[i];
int c=colors[i];
//向id上插入c
s=s.substr(0,id)+(c?"1":"0")+s.substr(id);
}
return s;
}
bool check(string s){
for(int i=0;i<6;i++){
int t=0;
for(int j=0;j<6;j++)
if(s[i*6+j]=='0')
t++;
if(t!=3)return false;
}
for(int j=0;j<6;j++){
int t=0;
for(int i=0;i<6;i++)
if(s[i*6+j]=='0')
t++;
if(t!=3)return false;
}
for(int i=0;i<6;i++)
for(int j=0;j+2<6;j++)
if(s[i*6+j]==s[i*6+j+1] && s[i*6+j+1]==s[i*6+j+2])
return false;
for(int j=0;j<6;j++)
for(int i=0;i+2<6;i++)
if(s[i*6+j]==s[(i+1)*6+j] && s[(i+1)*6+j]==s[(i+2)*6+j])
return false;
set<string> S;
for(int i=0;i<6;i++){
string t;
for(int j=0;j<6;j++)
t+=s[i*6+j];
S.insert(t);
}
if(S.size()!=6)return false;
S.clear();
for(int j=0;j<6;j++){
string t;
for(int i=0;i<6;i++)
t+=s[i*6+j];
S.insert(t);
}
if(S.size()!=6)return false;
return true;
}
int main(){
for(ll i=0;i<(1<<26);i++){
string t=treat(b2s(i));
if(check(t)){
//print(t);
cout<<t;//101001010011101100010110011001100110
break;
}
}
return 0;
}
/*
1 0 1 0 0 1
0 1 0 0 1 1
1 0 1 1 0 0
0 1 0 1 1 0
0 1 1 0 0 1
1 0 0 1 1 0
*/
思路2:
爆搜剪枝
按顺序枚举每个点,尝试落子。然后加点剪枝。
这样搜的好处是可以剪枝,不像思路1需要枚举到所有的状态,因为这个题的要求条件非常苛刻,所以可以狠狠剪枝,所以速度要快很多。
思路3:
直接手玩
首先很容易发现 ( 1 , 3 ) (1,3) (1,3) ( 3 , 4 ) (3,4) (3,4) 只能放黑棋,否则会导致三个白棋行/列连续。

接下来假设
(
4
,
4
)
(4,4)
(4,4) 放白棋,那么可以推出以下局面:
- 因为第四列已经有三白棋,因此 ( 5 , 4 ) (5,4) (5,4) ( 6 , 4 ) (6,4) (6,4) 均为黑棋
- 因为第五行已经有三黑棋,因此 ( 5 , 1 ) (5,1) (5,1) ( 5 , 2 ) (5,2) (5,2) ( 5 , 5 ) (5,5) (5,5) 均为白棋
- 因为第二列已经有三白棋,因此 ( 2 , 2 ) (2,2) (2,2) ( 3 , 2 ) (3,2) (3,2) ( 4 , 2 ) (4,2) (4,2) 均为黑棋
- 连续三黑棋,矛盾

因此
(
4
,
4
)
(4,4)
(4,4) 放黑棋
C 抽奖
题意:
抽奖机有三个转轮,每个转轮上有 n n n 个数字图案,标号为 1 ∼ n 1 \sim n 1∼n ,按照从 1 ∼ n 1\sim n 1∼n 顺序转动,当转到第 n n n 个图案时会从第一个继续开始。奖项如下:
- 三个相同的图案,积分 + 200 +200 +200
- 两个相同的图案,积分 + 100 +100 +100
- 三个数字图案,从左到右连续(例如 123 123 123 ),积分 + 200 +200 +200
- 三个数字图案,经过排序后连续,(例如 213 , 321 213, 321 213,321),积分 + 100 +100 +100
抽奖机处于初始状态,三个转轮都处于第一个位置。每次开始抽奖,都会产生三个对应的随机数 x i 1 , x i 2 , x i 3 x_{i1}, x_{i2}, x_{i3} xi1,xi2,xi3 ,表示第 j j j 个转轮会向后转动 x i j x_{i j} xij 次停下。下次抽奖时,转轮会从上一次转动后的位置开始继续转动。
注意,一次抽奖最多只能获得一次积分,如果同时命中多个奖项,以积分最大的那个奖项为准。
请问,如果执行 m m m 次抽奖,总积分值是多少?
n , m ≤ 1 0 3 n,m\le 10^3 n,m≤103, a i , b i , c i ≤ 9 a_i,b_i,c_i\le 9 ai,bi,ci≤9, x i j ≤ 1000 x_{ij}\le 1000 xij≤1000
思路:
把循环和取余联系起来,而不是一个一个数,就会好写很多。
code:
#include <iostream>
#include <cstdio>
using namespace std;
const int maxn=1e3+5;
int n,m;
int a[3][maxn];
int p[3];
int main(){
cin>>n;
for(int i=0;i<3;i++)
for(int j=0;j<n;j++)
cin>>a[i][j];
cin>>m;
int ans=0;
for(int i=1,t;i<=m;i++){
for(int i=0;i<3;i++){
cin>>t;
p[i]=(p[i]+t)%n;
}
int x[]={a[0][p[0]],a[1][p[1]],a[2][p[2]]};
if(x[0]==x[1] && x[1]==x[2])ans+=200;
else if(x[0]+1==x[1] && x[1]+1==x[2])ans+=200;
else {
if(x[0]>x[1])swap(x[0],x[1]);
if(x[1]>x[2])swap(x[1],x[2]);
if(x[0]>x[1])swap(x[0],x[1]);
if(x[0]==x[1] || x[1]==x[2])ans+=100;
if(x[0]+1==x[1] && x[1]+1==x[2])ans+=100;
}
}
cout<<ans<<endl;
return 0;
}
/*
4
3 2 4 1
2 2 2 2
4 3 0 9
3
4 4 4
3 1 1
40 39 2
*/
D 红黑树
题意:
小蓝最近学习了红黑树,红黑树是一种特殊的二叉树,树上的结点有两种类型:红色结点和黑色结点。
小蓝在脑海中构造出一棵红黑树,构造方式如下:
- 根结点是一个红色结点
- 如果当前结点 c u r N o d e curNode curNode 是红色结点,那么左子结点 c u r N o d e . l e f t curNode.left curNode.left 是红色结点,右子结点 c u r N o d e . r i g h t curNode.right curNode.right 是黑色结点
- 如果当前结点 c u r N o d e curNode curNode 是黑色结点,那么左子结点 c u r N o d e . l e f t curNode.left curNode.left 是黑色结点,右子结点 c u r N o d e . r i g h t curNode.right curNode.right 是红色结点

输入格式:
输入的第一行包含一个正整数
m
m
m ,表示小蓝挑选的结点数。
接下来
m
m
m 行,每行包含两个正整数
n
i
k
i
n_i\ k_i
ni ki ,用一个空格分隔,表示小蓝挑选的结点是第
n
i
n_i
ni 行(从上往下数)第
k
i
k_i
ki 个(从左往右数)结点。
输出格式:
输出
m
m
m 行,每行包含一个字符串,依次表示小蓝每次挑选的结点的答案。RED 表示红色结点,BLACK 表示黑色结点。
数据范围:
m ≤ 10 m\le 10 m≤10, n i ≤ 30 n_i\le 30 ni≤30, k i ≤ 2 n i − 1 k_i\le 2^{n_i-1} ki≤2ni−1
思路:
其实仔细想想也不算神秘猜猜题。毕竟这是正了八经的完全二叉树的性质。
对一个完全二叉树,从上到下,从左到右进行编号,会有一个性质:对一个节点,编号为
i
i
i,那么它的左孩子节点编号为
2
i
2i
2i,右孩子节点的编号为
2
i
+
1
2i+1
2i+1。

观察一下,你很容易看出来对一个节点,它的左孩子是保持它的颜色,它的右孩子是翻转它的颜色。如果把编号看成二进制数,左孩子编号相当于在它的编号后面加一个
0
0
0,右孩子编号相当于在它的编号后面加一个
1
1
1。这说明了什么?这说明节点颜色和它编号二进制的
1
1
1 的个数有关。

所以你只需要算出第 n n n 行第 k k k 个节点的编号,然后数一下它的二进制中 1 1 1 的个数即可。
再观察一下可以发现第 n n n 行的点只是二进制位上第 n − 1 n-1 n−1 位(从第零位开始算)为 1 1 1,除去最高位 1 1 1,剩余的二进制位组成的数就是 k − 1 k-1 k−1。
code:
#include <iostream>
#include <cstdio>
using namespace std;
int count(int x){
int cnt=0;
while(x){
if(x&1)cnt++;
x>>=1;
}
return cnt;
}
int n;
int main(){
cin>>n;
for(int i=1,_,k;i<=n;i++){
cin>>_>>k;
// cout<<k<<" "<<count(k-1)<<endl;
cout<<((count(k-1)%2)?"BLACK":"RED")<<endl;
}
return 0;
}
/*
2
1 1
2 2
*/
E 黑客
题意:
小蓝正在两台电脑之间拷贝数据,数据是一个 n × m n\times m n×m 大小的正整数矩阵,因此总共有 n × m + 2 n\times m+2 n×m+2 个由空格分开的整数,其中前两个整数分别为 n n n 和 m m m。然而,有黑客入侵了小蓝的电脑,导致这 n × m + 2 n\times m+2 n×m+2 个正整数的顺序被打乱了,小蓝想知道最多可能有多少个不同的原矩阵。
两个矩阵相同当且仅当它们行数相同、列数分别相同,且每个位置上的数相同。
输入格式:
输入的第一行包含一个正整数 n × m + 2 n\times m+2 n×m+2 。
第二行包含 n × m + 2 n\times m+2 n×m+2 个正整数 a 1 , a 2 … a n × m + 2 a_1,a_2\dots a_{n\times m+2} a1,a2…an×m+2 ,相邻整数之间使用一个空格分隔。
输出格式:
输出一行包含一个整数表示答案。答案可能很大,请输出答案除以 1000000007 的余数。
数据范围:
n × m + 2 ≤ 5 × 1 0 5 n\times m +2\le 5\times 10^5 n×m+2≤5×105, a i ≤ 5 × 1 0 5 a_i\le 5\times 10^5 ai≤5×105
思路:
首先需要取出两个数作为 n , m n,m n,m。其次这个两个数肯定是 n × m n\times m n×m 的因数(废话)。所以我们可以 O ( n ) O(\sqrt n) O(n) 枚举总数的因数,(如果存在这两个数)去除这两个数,并计算剩余 n × m n\times m n×m 个数的答案。
因为矩阵相同只需要对应位置上的数相同,这个数原本的位置不重要,所以我们可以把所有数按照值统计起来。
如果原本的数各不相同,那么显然总的可能数就是 n m nm nm 个数的全排列,即 A n m n m = ( n m ) ! A_{nm}^{nm}=(nm)! Anmnm=(nm)!。如果其中有 k k k 个数是相等的,我们就需要消除它们之间全排对整体全排列的影响。也就是除序原理。它们 k k k 个数全排列有 k ! k! k! 种可能,这意味着在整体的全排列中会有 k ! k! k! 个其实是一种排列(因为整体在全排时把它们看作是不同的元素),所以需要在原本的基础上除以 k ! k! k!。以此类推,对多个不同的个数大于 1 1 1 的数也都是这样。
假设值为 i i i 的数有 c n t i cnt_i cnti 个,那么答案就是: ( n m ) ! ∏ i c n t i ! \dfrac{(nm)!}{\prod_icnt_i!} ∏icnti!(nm)!
所以再预处理一下阶乘和阶乘倒数即可。
因为 n , m n,m n,m 和 m , n m,n m,n 算两种情况,所以在枚举因数的时候,如果因数 p p p 和 n m / p nm/p nm/p 不一致,答案需要计两遍。
算阶乘可以用 n ! = ( n − 1 ) ! ∗ n n! = (n-1)!*n n!=(n−1)!∗n 递推,算阶乘倒数可以用 1 ( n − 1 ) ! = 1 n ! ∗ n \dfrac{1}{(n-1)!}=\dfrac{1}{n!}*n (n−1)!1=n!1∗n 倒推。
code:
#include <iostream>
#include <cstdio>
using namespace std;
const int maxn=5e5+5;
const int N=5e5;
typedef long long ll;
const ll mod=1e9+7;
ll qpow(ll a,ll b){//a^b (%mod)
ll ans=1,base=a;
while(b){
if(b&1)ans=ans*base%mod;
base=base*base%mod;
b>>=1;
}
return ans;
}
ll inv(ll x){
return qpow(x,mod-2);
}
ll nm;
ll cnt[maxn];
ll fac[maxn],ifac[maxn];
int main(){
fac[0]=1;
for(int i=1;i<=N;i++)fac[i]=fac[i-1]*i%mod;
ifac[N]=inv(fac[N]);
for(int i=N;i>=1;i--)ifac[i-1]=ifac[i]*i%mod;
ll ans=0;
cin>>nm;
for(int i=1,t;i<=nm;i++){
cin>>t;
cnt[t]++;
}
nm-=2;
for(ll i=1;i*i<=nm;i++){
if(nm%i!=0)continue;
cnt[i]--;
cnt[nm/i]--;
if(cnt[i]>=0 && cnt[nm/i]>=0){
// cout<<i<<" "<<nm/i<<endl;
ll t=fac[nm];
for(int j=1;j<=N;j++)
t=t*ifac[cnt[j]]%mod;
// cout<<t<<endl;
ans+=t;
if(i*i!=nm)ans+=t;
ans%=mod;
}
cnt[i]++;
cnt[nm/i]++;
}
cout<<ans;
return 0;
}
/*
6
2 2 1 4 3 3
*/
F 好串的数目
题意:
对于一个长度为n 的字符串
s
=
s
0
s
1
…
s
n
−
1
s=s_0s_1\dots s_{n-1}
s=s0s1…sn−1 来说,子串的定义是从中选出
两个下标
l
,
r
l,r
l,r (
0
≤
l
≤
r
≤
n
−
1
0\le l\le r\le n-1
0≤l≤r≤n−1),这之间所有的字符组合起来的一个新的字符串:
s
’
=
s
l
s
l
+
1
…
s
r
s’ = s_ls_{l+1} \dots s_r
s’=slsl+1…sr 就是其中一个子串。
现在给出一个只有数字字符
0
∼
9
0\sim9
0∼9 组成的数字字符串,小蓝想要知道在其
所有的子串中,有多少个子串是好串。一个子串是好串,当且仅当它满足以下
两个条件之一:
- 单字符子串一定是好串,即当子串长度为 1 1 1 时,它总是好串;
- 长度大于 1 1 1 时,可以拆分为两个连续非递减子串。
其中,一个串 p = p 0 p 1 … p k − 1 p = p_0p_1\dots p_{k-1} p=p0p1…pk−1 为连续非递减子串是指,对于所有 1 ≤ i < k 1 \le i < k 1≤i<k,满足 p i = p i − 1 p_i=p_{i-1} pi=pi−1 或 p i = p i + 1 + 1 p_i = p_{i+1} + 1 pi=pi+1+1 。即数字串中的每一个数字,要么等于上一个数字,要么等于上一个数字加 1 1 1 。例如 12233 、 456 12233 、456 12233、456 是连续非递减子串。
输入格式:
输入一行包含一个字符串 s s s
输出格式:
输出一行包含一个整数表示答案,即好串的数目。
数据范围:
1 ≤ n ≤ 1 0 5 1\le n\le 10^5 1≤n≤105, s s s 中只包含数字字符 0 ∼ 9 0\sim 9 0∼9
思路:
如果我们把整个串划分成若干段连续非递减子串,比如 122 ‾ 5 ‾ 8 ‾ \underline{122}\underline{5}\underline{8} 12258。只要我们选取的区间不包含超过两个段,那么它就是一个好串。
我们可以枚举左端点,然后快速处理出右端点。其实也就是对一个左端点,我们需要知道左端点所在段的后一个段的右端点在哪里。我们可以预处理这个东西,于是就做完了。
code:
#include <iostream>
#include <cstdio>
#include <cstring>
using namespace std;
const int maxn=1e5+5;
typedef long long ll;
int n;
string s;
int mir[maxn];
int main(){
cin>>s;
n=s.length();
s=" "+s;
for(int r=n,l=n+1,lst=n+1;r>=1;r=l-1){//双指针拓展段,每次循环得到一段,段为[l,r]
l--;
while(l-1>=1 && (s[l]-s[l-1]==1 || s[l]-s[l-1]==0))l--;
for(int i=l;i<=r;i++)mir[i]=lst;
// cout<<l<<" "<<r<<" "<<lst<<endl;
lst=r+1;
}
ll ans=0;
for(int l=1,r,len;l<=n;l++){//右端点在[l,r)任取
r=mir[l];
len=r-l;
ans+=len;
}
cout<<ans;
return 0;
}
/*
12258
97856
*/
G 地雷阵
题意:
小蓝正在平面直角坐标系中的第一象限里玩一个逃生小游戏,在第一象限中埋有 n n n 颗地雷,第 i i i 颗地雷的坐标为 ( x i , y i ) (x_i, y_i) (xi,yi) ,触发范围为以 ( x i , y i ) (x_i, y_i) (xi,yi) 为圆心,半径为 r i r_i ri 的圆。一旦小蓝走进了圆内就会触发地雷导致游戏失败。小蓝初始在原点 ( 0 , 0 ) (0, 0) (0,0) 上,他需要在第一象限内选择一个方向一直往前走,如果能不触发任何地雷即可成功通关游戏。他想知道在 [ 0 , π 2 ] [0,\dfrac{\pi}{2}] [0,2π] 中均匀随机选择一个方向,即在 0 ° 0\degree 0° (朝向 x x x 轴正方向)至 90 ° 90\degree 90°(朝向 y y y 轴正方向)之间随机选择一个方向,通关游戏的概率是多少?
输入格式:
输入的第一行包含一个正整数 n n n 。
接下来 n n n 行,每行包含三个正整数 x i , y i , r i x_i, y_i, r_i xi,yi,ri,相邻整数之间使用一个空格分隔。
输出格式:
输出一行包含一个实数,四舍五入保留三位小数,表示答案。
数据范围:
n ≤ 1 0 5 n\le 10^5 n≤105, x i , x y ≤ 1 0 4 x_i,x_y\le 10^4 xi,xy≤104, r i ≤ m i n ( x i , y i ) r_i\le min(x_i,y_i) ri≤min(xi,yi)
思路:
r i ≤ m i n ( x i , y i ) r_i\le min(x_i,y_i) ri≤min(xi,yi) 说明所有圆不会超出第一象限,可以少一些特殊情况判断。
如果在第一象限有一个圆,它的圆心坐标为
(
x
,
y
)
(x,y)
(x,y),半径为
r
r
r。那么可以得到下图:

不难发现在
[
0
,
π
2
]
[0,\dfrac{\pi}{2}]
[0,2π] 中,
[
α
−
θ
,
α
+
θ
]
[\alpha-\theta,\alpha+\theta]
[α−θ,α+θ] 这段是不能取的,而
α
=
arctan
y
x
,
θ
=
arcsin
r
R
=
arcsin
r
x
2
+
y
2
\alpha=\arctan{\dfrac yx},\theta=\arcsin{\dfrac{r}{R}}=\arcsin{\dfrac{r}{\sqrt{x^2+y^2}}}
α=arctanxy,θ=arcsinRr=arcsinx2+y2r,其中
R
R
R 代表从坐标原点到圆心的距离。
n n n 个圆,那么就有 n n n 段不能取的区间。我们取这些区间的并集,假设长度为 l e n len len,那么总长度为 π 2 \dfrac{\pi}{2} 2π,不通关的概率就是 l e n π 2 \dfrac{len}{\dfrac{\pi}{2}} 2πlen,通关概率就是 1 − l e n π 2 1-\dfrac{len}{\dfrac{\pi}{2}} 1−2πlen。
code:
#include <iostream>
#include <cstdio>
#include <cmath>
#include <vector>
#include <algorithm>
using namespace std;
const int maxn=1e5+5;
const double pi=acos(-1);
#define pdd pair<double,double>
int n;
vector<pdd> range;
int main(){
cin>>n;
for(int i=1;i<=n;i++){
double x,y,r;
cin>>x>>y>>r;
double alpha=atan(y/x);
double theta=asin(r/sqrt(x*x+y*y));
range.push_back(pdd(alpha-theta,alpha+theta));
}
sort(range.begin(),range.end());
double p=0,len=0;
for(auto [l,r]:range){
if(r<p){
continue;
}
else if(l<p){
len+=r-p;
p=r;
}
else {
len+=r-l;
p=r;
}
}
printf("%.3f",1-len/(pi/2));
return 0;
}
/*
1
2 2 1
2
1 3 1
3 1 1
*/
H 扫地机器人
题意:
在一个含有 n n n 个点 n n n 条边的无重边无自环的连通无向图中,有一个扫地机器人在执行清扫作业,其中结点 i i i 的标记 t i ∈ { 0 , 1 } t_i \in \{0,1\} ti∈{0,1} 如果为 1 1 1 ,则说明该结点需要进行清扫,扫地机器人在到达这个结点时会顺便进行清扫工作。机器人想知道,如果选定任意结点出发,每条边只能经过一次的话,最多能清扫多少个待清扫结点?
输入格式:
输入的第一行包含一个正整数 n n n 。
第二行包含 n n n 个整数 t 1 , t 2 , … , t n t_1,t_2,\dots,t_n t1,t2,…,tn,相邻整数之间使用一个空格分隔。
接下来 n n n 行,每行包含两个正整数 u i , v i u_i, v_i ui,vi ,用一个空格分隔,表示结点 u i u_i ui 和结点 v i v_i vi 之间有一条边。
输出格式:
输出一行包含一个整数表示答案。
数据范围:
n ≤ 5 × 1 0 5 n\le 5\times 10^5 n≤5×105, t i ∈ { 0 , 1 } t_i \in \{0,1\} ti∈{0,1}, 1 ≤ u i , v i ≤ n 1\le u_i,v_i\le n 1≤ui,vi≤n
思路:
终于是通过洛谷的数据了,这题阴的很,出题人坏的很。重构一遍发现该错的地方还是错,不是写法有问题,而是情况没讨论全。
n n n 个点 n n n 条边,还无重边无自环,连通图。这就是一个基环树。
基环树说白了就是在一棵树的基础上加一条边,于是变成了一种图。它存在唯一的环,环上的每个点都可以作为树根向外衍生出一棵树。因为无重边无自环,所以环长最小为 3 3 3。
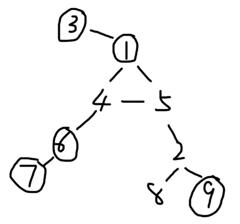
比如这个题的样例对应的图(带圈的表示待清扫结点):

我们的答案路径有三种情况,这就是这个题阴的地方,我们需要对每种情况进行计数,并取最大值。三种情况分别为:
- 在以环上某点为根的一颗树内。比如上图的 8 → 2 → 9 8\rightarrow 2\rightarrow 9 8→2→9
- 从某棵树的树叶开始,走到树根(树根在环上),然后走到另一个树根,再走到这棵树的树叶。比如这个样例的答案路径就是 3 → 1 → 4 → 6 → 7 3\rightarrow 1\rightarrow 4\rightarrow 6\rightarrow 7 3→1→4→6→7。
- 环上某点有两个以上的儿子,以其中一个儿子所在子树开始,走到环上该点,绕环转一圈回到该点,再进入另一个儿子所在子树。

因为题目只要求边只能走一遍,但是没说点不能走多遍。阴不阴?
情况一和情况三都比较好处理,主要看你的实现方式。假设我们把待清理点叫做 1 1 1 点。
- 如果你用拓扑排序找环:那么找环的过程中,相当于对每棵树从叶向上遍历,那么遍历过程中顺便把某点的两个最大子树的 1 1 1 点个数加起来,就得到了情况一的答案。然后枚举环上各点,将它的两个最大子树和环上的 1 1 1 点个数加起来就是情况三的答案
- 如果你用 d f s dfs dfs 找环(这题明确就一个环,也不需要找连通分量,所以没必要上 t a r j a n tarjan tarjan,一个 d f s dfs dfs 就解决了):找到环后,以每个点为根,单独进行 d f s dfs dfs,直接去算情况一和情况三的答案。
对于情况二,如果用拓扑排序,我们可以处理出以环上某点作为起点,向环外走可达的最大 1 1 1 点个数。于是我们就可以用拓扑排序来删点,边删边算上面说的东西。最后剩一下一个环。
我们可以把这个环展开,展开后有 t n tn tn 个点,按顺序重新编号,假设 a i a_i ai 表示第 i i i 个点是或不是 1 1 1 点, b i b_i bi 表示第 i i i 个点向环外走可达的最大 1 1 1 点个数(也就是上面提到的那个东西),从某个点到另外一个点的答案就是 b i + a i + 1 + a i + 2 + ⋯ + a j − 1 + b j b_i+a_{i+1}+a_{i+2}+\dots+a_{j-1}+b_j bi+ai+1+ai+2+⋯+aj−1+bj。
我们要算答案,就是要枚举左端点 i i i,然后枚举右端点 j j j,计算上面的式子,并取最大值。但是如果我们走环的另一个方向呢?比如样例中的环从 1 → 4 1\rightarrow 4 1→4 也可以是 1 → 5 → 4 1\rightarrow 5\rightarrow 4 1→5→4。其实也好解决,我们将 a , b a,b a,b 数组再循环复制一遍放到后面,这样 i → j i\rightarrow j i→j 的另一个方向就转化为了 j → i + t n j\rightarrow i+tn j→i+tn,这是处理环时的常用策略,不理解可以看下面的图。

不过要注意,当我们枚举 i i i 的时候, j j j 的取值范围是 [ i + 1 , i + t n − 1 ] [i+1,i+tn-1] [i+1,i+tn−1]。否则区间长度大于 t n tn tn 就相当于重复了。
n ≤ 5 × 1 0 5 n\le 5\times 10^5 n≤5×105,怎么快速算呢。稍微处理一下上面的式子: b i + a i + 1 + a i + 2 + ⋯ + a j − 1 + b j = a 1 + ⋯ + a j − 1 + b j − ( a 1 + ⋯ + a i ) + b i \begin{aligned} &b_i+a_{i+1}+a_{i+2}+\dots+a_{j-1}+b_j\\ =&a_1+\dots+a_{j-1}+b_j-(a_1+\dots+a_i)+b_i \end{aligned} =bi+ai+1+ai+2+⋯+aj−1+bja1+⋯+aj−1+bj−(a1+⋯+ai)+bi如果我们枚举左端点 i i i,那么对一个 i i i,其中的 b i b_i bi 和 a 1 + ⋯ + a i a_1+\dots+a_i a1+⋯+ai 就是固定的,我们需要快速确定 j j j,使得上式最大。
我们可以预处理 a a a 的前缀和 s i = a 1 + a 2 + ⋯ + a i s_i=a_1+a_2+\dots+a_i si=a1+a2+⋯+ai。上式转化为 s j − 1 + b j − s i + b i s_{j-1}+b_j-s_i+b_i sj−1+bj−si+bi,其实我们只需要知道 [ i + 1 , i + t n − 1 ] [i+1,i+tn-1] [i+1,i+tn−1] 中 s j − 1 + b j s_{j-1}+b_j sj−1+bj 最大值即可。
可以用单调队列动态维护区间最大值。就是滑动窗口问题。或者可以用 s e t set set,时间慢一点,但是不影响。
code1:
拓扑排序
#include <iostream>
#include <cstdio>
#include <vector>
#include <set>
#include <queue>
using namespace std;
const int maxn=5e5+5;
#define pii pair<int,int>
const int inf=1e9;
int n,ans=0;
set<int> g[maxn];
int clean[maxn];
vector<int> ring;
set<int> S;
int to[maxn],twin[maxn];//向环外走可以走到多少1点 以它为中转点向外走两条叉的1点数
void topu(){//拓扑排序找环,并找到环上点向环外可以走到多少1点
queue<int> q;
for(int u=1;u<=n;u++)
if(g[u].size()==1)
q.push(u);
while(!q.empty()){
int u=q.front();
q.pop();
for(auto v:g[u]){
g[v].erase(u);
twin[v]=max(twin[v],to[v]+to[u]);
ans=max(ans,twin[v]);
to[v]=max(to[v],clean[v]+to[u]);
if(g[v].size()==1)q.push(v);
}
g[u].clear();
}
// for(int u=1;u<=n;u++){
// cout<<u<<":";
// for(auto v:g[u])
// cout<<v<<" ";
// cout<<endl;
// }
for(int u=1;u<=n;u++)
if(g[u].size()>0)
S.insert(u);
for(int u=*S.begin(),fa=*g[u].begin();;){
ring.push_back(u);
for(auto v:g[u]){
if(v==fa)continue;
if(v==ring[0])return;
fa=u;
u=v;
break;
}
}
}
int main(){
cin>>n;
for(int i=1;i<=n;i++)cin>>clean[i],to[i]=clean[i];
for(int i=1,u,v;i<=n;i++){
cin>>u>>v;
g[u].insert(v);
g[v].insert(u);
}
topu();
int tn=ring.size();
vector<int> a(tn*2+5),b(tn*2+5),s(tn*2+5);
for(int i=1;i<=tn;i++){
a[i]=a[i+tn]=clean[ring[i-1]];
b[i]=b[i+tn]=to[ring[i-1]];
}
for(int i=1;i<=tn*2;i++)s[i]=s[i-1]+a[i];
deque<pii> dq;//下标 值
for(int j=1;j<tn;j++){
int val=s[j-1]+b[j];
while(!dq.empty() && dq.back().second<=val)dq.pop_back();
dq.push_back(pii(j,val));
}
for(int i=1,j=tn,val;i<=tn;i++,j++){//i为左端点,j为右端点
while(!dq.empty() && dq.front().first<=i)dq.pop_front();
val=s[j-1]+b[j];
while(!dq.empty() && dq.back().second<=val)dq.pop_back();
dq.push_back(pii(j,val));
int max_val=dq.front().second-s[i]+b[i];
ans=max(ans,max_val);
}
for(auto u:ring){
ans=max(ans,twin[u]+s[tn]-clean[u]);
}
cout<<ans<<endl;
return 0;
}
/*
9
1 0 1 0 0 1 1 0 1
2 8
2 9
2 5
1 5
1 3
1 4
4 5
4 6
6 7
*/
code2:
d f s dfs dfs
#include <iostream>
#include <cstdio>
#include <vector>
#include <set>
#include <queue>
#include <algorithm>
#include <ctime>
using namespace std;
const int maxn=5e5+5;
const int inf=1e9;
#define pii pair<int,int>
//#define int long long
int n,ans=0;
set<int> g[maxn];
int clean[maxn];
int to[maxn];//向环外走可以走到多少1点
vector<int> cir;
bool incir[maxn];
vector<int> stk;
bool vis[maxn];
bool find_cir(int u,int fa){
// cout<<u<<' '<<fa<<endl;
vis[u]=true;
stk.push_back(u);
for(auto v:g[u]){
if(fa==v)continue;
if(vis[v]){
while(true){
int t=stk.back();
stk.pop_back();
incir[t]=true;
cir.push_back(t);
if(t==v)break;
}
return true;
}
if(find_cir(v,u))return true;
}
stk.pop_back();
vis[u]=false;
return false;
}
void dfs(int u,int fa){
for(auto v:g[u]){
if(incir[v] || fa==v)continue;
dfs(v,u);
ans=max(ans,to[v]+to[u]);
to[u]=max(to[u],to[v]+clean[u]);
}
}
signed main(){
cin>>n;
for(int i=1;i<=n;i++)cin>>clean[i],to[i]=clean[i];
for(int i=1,u,v;i<=n;i++){
cin>>u>>v;
g[u].insert(v);
g[v].insert(u);
}
find_cir(1,-1);
for(auto u:cir)dfs(u,-1);
int tn=cir.size();
vector<int> a(tn*2+5),b(tn*2+5),s(tn*2+5);
for(int i=1;i<=tn;i++){
a[i]=a[i+tn]=clean[cir[i-1]];
b[i]=b[i+tn]=to[cir[i-1]];
}
for(int i=1;i<=tn*2;i++)s[i]=s[i-1]+a[i];
set<pii> S;
for(int j=1;j<tn;j++){
int val=s[j-1]+b[j];
S.insert(pii(val,j));
}
for(int i=1,j=tn,val;i<=tn;i++,j++){//i为左端点,j为右端点
val=s[j-1]+b[j];
S.insert(pii(val,j));
while(!S.empty() && (*S.rbegin()).second<=i)S.erase(*S.rbegin());
int max_val=(*S.rbegin()).first-s[i]+b[i];
ans=max(ans,max_val);
}
int cnt=s[tn];//环上所有1点和
// cout<<cnt<<endl;
for(auto u:cir){
int mx1=-inf,mx2=-inf;
for(auto v:g[u]){
if(incir[v])continue;
if(to[v]>mx1){
mx2=mx1;
mx1=to[v];
}
else if(to[v]>mx2){
mx2=to[v];
}
}
// cout<<"***"<<u<<" "<<mx1<<" "<<mx2<<endl;
ans=max(ans,cnt+mx1+mx2);
}
cout<<ans<<endl;
return 0;
}
/*
9
1 0 1 0 0 1 1 0 1
2 8
2 9
2 5
1 5
1 3
1 4
4 5
4 6
6 7
*/


















