定义
项目进度管理是为了保证项目按时完成,对项目中所需的各个过程进行管理的过程,包括规划进度、定义活动、活动优先级排序、活动持续时间、制定进度计划和控制进度。
管理基础
制定进度计划的一般步骤
选择进度计划方法(如关键路径法) -——> 将活动、持续时间、所需资源、依赖关系等输入进度计划编制工具,创建进度模型 -——> 形成进度计划
管理新实践
- 具有未完成项的迭代型进度计划:如适应型模型中,采用滚动式规划
- 按需进行的进度计划:在资源可用时从未完成工作列表中提取任务
范围管理过程
输入输出汇总表格

加粗表示重点使用
1、规划进度管理
一句话总结:基于整体里程碑计划、开发方法等输入,参考进度管理计划模版,分析适合当前项目的进度规划方法,通过会议形式,邀请相关专家评审确认,输出进度管理计划的过程。
输入说明
- 项目章程:项目章程中规定的总体里程碑计划
- 项目管理计划
- 开发方法:有助于定义进度计划方法、估算技术、进度计划编制工具以及用来控制进度的技术
- 范围管理计划:描述如何定义和制定范围,并提供有关如何制定进度计划的信息
- 事业环境因素:组织文化和结构;进度计划工具;商业数据库,如标准化的估算数据
- 组织过程资产:历史信息和经验教训知识库;模版和表格;
工具和技术说明
- 专家判断:咨询进度计划、管理和控制相关领域的专家
- 数据分析:备选方案分析,可分析确定采用哪些进度计划方法
- 会议:可能举行会议制定进度管理计划
常见的进度计划方法有哪些?
- 关键路径法
- 关键链法:在关键路径基础上,考虑资源约束,设置项目缓冲/接驳缓冲
- 计划评审技术(PERT)
- 滚动式规划
- 资源优化技术,如资源平衡和资源平衡
- 里程碑图:高层进度跟踪
- 甘特图
- 蒙特卡洛模拟:关键路径法确定逻辑关系 ——> 选择贝塔分布或者三角分布来模拟活动持续时间的不确定性 ——> 基于概率模拟活动持续时间,重复5000或更多次,以覆盖各种情况 ——> 计算每次模拟的关键路径和总工期 ——> 统计模拟结果,生成概率分布图(S曲线) ——> 输出模拟结果,概率分析如项目90天完成概率为80%;敏感性分析如开发活动对工期影响最大
输出
- 进度管理计划

一般包含内容如下: - 制定进度模型的进度规划方法论和工具
- 进度计划发布和迭代长度
- 准确度:规定活动持续时间估算的可接受空间
- 计量单位:如使用人天数测量时间
- 工作分解结构:为进度管理计划提供了框架
- 进度模型维护:如何在就进度模型中更新项目状态
- 控制临界值:如最大允许偏离计划10%
- 绩效测量规则
- 报告格式:进度报告的格式和编制频率
2、定义活动
一句话总结:基于范围基准中WBS和WBS词典等信息,组织项目核心角色通过会议形式,对WBS中活动进行分解,输出活动清单、活动属性和里程碑清单的过程
输入说明
- 项目管理计划
- 进度管理计划
- 范围基准
- 事业环境因素:组织文化和结构;项目管理信息系统;
- 组织过程资产
- 经验教训知识库,包含以往类似项目的活动清单等
- 标准化的流程
- 活动清单模版
- 与定义活动相关的政策、程序和指南
工具和技术说明
- 分解:把项目范围和可交付成果逐步分解为更小的、更便于管理的组成部分的技术
- 滚动式规划:详细规划近期要完成的工作,粗略规划远期工作,是渐进明细的过程
- 专家判断:征求相关领域专家建议
- 会议
输出
- 活动清单:项目所需的进展活动
- 活动属性:对活动的补充描述,包含活动清单和WBS的联系
- 初期包含:活动标识(ID)、WBS标识、活动名称/标签
- 完成时可能包含:紧前/紧后活动、逻辑关系、提前量和滞后量、资源需求、强制日期、制约因素和假设条件
- 里程碑清单:重要时点和事件,并指明是强制性的还是选择性的。里程碑的持续时间为零。
- 变更请求:可交付成果渐进明细为活动的过程中,可能超出项目基准,需要提出变更请求。
- 项目管理计划更新:进度基准、成本基准
3、活动优先级排序
一句话总结:在里程碑清单基础上,分析活动清单依赖关系及相关制约因素,利用紧前关系绘图法,输出进度网络图的过程。
输入说明
- 项目管理计划
- 进度管理计划
- 范围基准:考虑范围基准中的WBS、可交付成果、制约因素和假设条件。
- 项目文件
- 活动清单:所有待排序的活动
- 活动属性:可能包含了活动关系的描述
- 里程碑清单:特定里程碑的实现日期,影响活动排序方式
- 假设日志:假设条件和制约因素对活动排序的影响
- 事业环境因素:行业标准、项目管理信息系统、进度规划工具
- 组织过程资产:相关模版
工具和技术说明
-
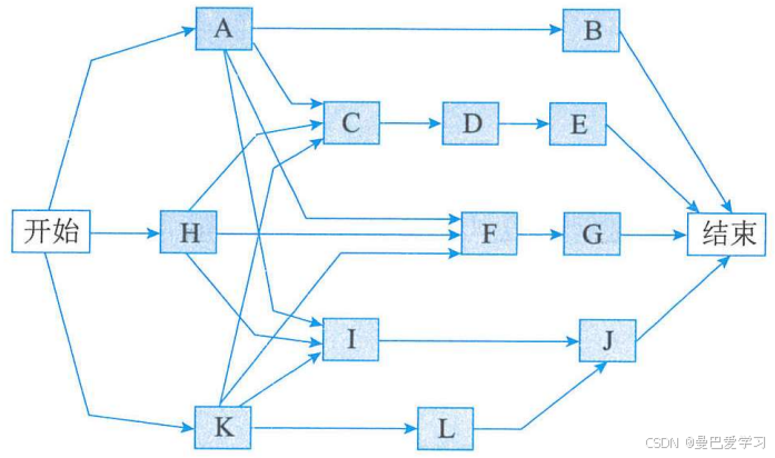
紧前关系绘图法:PDM,一种画图技术,节点表示活动,相较箭线图法简单一些,输出如下图

-
箭线图法:ADM,也叫双代号网络图,箭线表示活动
- 不会有相同的代号
- 紧前事件和紧后事件代号至少有一个
- 随着箭头方向,节点代号越来越大
- 流入同一节点,均有共同的紧后活动;流出同一节点,均有共同的紧前活动

-
提前量与滞后量:
- 提前量是对于紧前活动,紧后活动可提前的时间量,提前量一般用负值表示。
- 滞后量是相对于紧前活动、紧后活动需要推迟的时间量,滞后量一般用正值表述。
-
确定和整合依赖关系
- 强制性、选择性依赖、内部、外部
-
项目管理信息系统
输出
- 项目进度网络图
- 项目文件更新
- 活动清单:受项目活动关系可能变更的影响
- 活动属性:描述顺序,确定紧前紧后关系
- 里程碑清单:排列活动顺序时,特定里程碑计划的实现日期可能影响
- 假设日志:可能更新假设日志和制约因素
4、活动持续时间估算
一句话总结:考虑资源需求及可用性,结合活动属性中活动依赖关系,对活动清单中所有活动,利用类比估算、三点估算、参数估算等方法,估算活动持续时间估算,更新活动属性的过程。
需要考虑的其他因素
- 收益递减规律:到达一个临界点后,随着资源增加收益会减少
- 资源数量:两倍资源,不一定能缩短一半工期
- 技术进步:技术进步可能缩短持续时间和资源需求
- 员工激励:
- 拖延症:最后一刻才会全力以赴
- 帕金森定律:只要还有时间,工作就会不断扩展,直到用完所有时间
输入说明
- 项目管理计划
- 进度管理计划
- 范围基准
- 项目文件
- 活动清单:所有待估算的活动
- 活动属性:确定的紧前紧后关系、定义的提前量和滞后量、以及可能影响持续时间估算的活动逻辑关系
- 里程碑清单:里程碑时间影响持续时间估算
- 资源需求:分配的资源是否达到要求,直接影响持续时间
- 资源日历:资源可用性、资源类型和资源性质,确定资源何时可用可用多久
- 资源分解结构:按类别和类型提供了已识别资源的层次结构
- 团队派工单:将何时的人员分派到项目
- 假设日志:假设条件和制约因素可能生成一个影响项目进度的风险
- 风险登记册:单个项目风险可能影响资源的选择和可用性
- 经验教训登记册:与人力投入相关的经验教训可以运用到项目,以提高人力投入和持续时间估算的准确性
- 事业环境因素:持续时间估算数据库和其他参考数据、生产率测量指标
- 组织过程资产:历史信息、估算政策、经验教训知识库等
工具和技术说明
- 类比估算:相似活动或历史数据估算当前活动
- 参数估算:基于历史数据和项目参数,使用某种算法计算持续时间或成本的技术。如开发工作量15人天,参考历史经验开发测试工作量1:3,则计算测试工作量为5人天
- 三点估算
- 三角分布:(乐观+最可能+悲观)/3
- 贝塔分布:(乐观+4最可能+悲观)/6
- 自下而上估算:从下到上逐层汇总WBS组成部分的估算而得到项目估算
- 数据分析
- 备选方案分析:比较不同资源能力或技能水平、进度压缩技术、不同工具以及资源的创建、租赁和购买决策,有助于团队权衡资源、成本和持续时间变量
- 储备分析:考虑应急储备对于进度方面的不确定性,可以是百分比或某一段固定时间,属于进度基准范围;管理储备为管理控制预留出的项目预算,应对不可预见的工作,不包括在进度基准中,但属于总持续时间的一部分。使用管理储备,需要变更进度基准。
- 专家判断:征求相关领域专家意见
- 决策:投票
输出
- 持续时间估算:对活动工作时段的定量评估,不包括任何滞后量,可指出一定的变动区间,如10天 ± 2天,表明最少8天,最多12天。
- 估算依据:持续时间估算所需的支持信息的数量和种类,及如何评估得出的持续时间
- 项目文件更新
- 活动属性:更新活动持续时间
- 假设日志:为估算持续时间制定的假设条件
- 经验教训登记册
5、制定进度计划
一句话总结:基于进度网络图和持续时间估算,将活动清单全部落入进度模型汇总,考虑资源可用性,最终输出进度计划的过程。
制定进度计划的关键步骤
- 定义里程碑,识别活动并排列活动顺序、估算持续时间
- 分配至各活动的项目人员审查其被分配的活动
- 项目人员确认开始和完成日期没有冲突,确认计划有效性
- 分析进度计划,确定是否存在逻辑冲突,以及基准前是否需要资源平衡
输入说明
- 项目管理计划
- 进度管理计划
- 范围基准:范围说明书、WBS和WBS字典
- 项目文件
- 项目进度网络图:用于进度计划紧前紧后关系推算
- 活动持续时间估算:活动所需的工作时段数的定量评估,用于推算进度计划
- 估算依据:持续时间估算所需的支持信息的数量和种类
- 活动清单:活动列表
- 活动属性:活动细节信息
- 里程碑计划:特定里程碑的实现日期
- 资源需求:资源的类型和数量,用于创建进度模型
- 资源日历:规定了资源可用性
- 项目团队派工单:明确了分配到每个活动的资源
- 假设日志:假设条件和制约因素可能造成影响进度的风险
- 风险登记册:已识别风险对进度的影响,进度储备
- 经验教训登记册:与创建进度模型相关的经验教训登记册
- 协议:采购场景,供应商履行合同过程中可能对进度产生影响
- 事业环境因素:政府或行业标准、沟通渠道等
- 组织过程资产
- 进度计划方法论
工具和技术说明
- 进度网络分析:1)多个路径在同一时间点汇聚或分叉时,汇总进度储备的必要性;2)审查网络,查看关键路径是否存在高风险活动,是否需要使用进度储备或执行风险应对计划。
- 关键路径法:估算项目最短工期,
- 最早开始时间、最早结束时间;最晚开始时间、最晚结束时间
- 总浮动时间、自由浮动时间
- 资源优化
- 资源平衡:往往导致关键路径改变
- 资源平滑:浮动时间内削峰填谷,不改变关键路径,可能无法资源最优
- 进度压缩
- 赶工:增加资源,以最小成本压缩进度
- 快速跟进:提前进行关键路径上不强依赖紧前活动的活动,有返工风险
- 提前量与滞后量:提前量用于在条件许可情况下提早开始紧后活动;滞后量是在某些限制条件下,在紧前和紧后之间增加一段不需要工作或资源的自然时间
- 计划评审技术:又称三点估算技术
- 数据分析
- 假设场景分析:假设某种情况出现,会对目标的影响
- 模拟:常见技术是:蒙特卡洛分析,模拟不同的活动假设、制约因素和风险、问题和情景,使用概率分布和不确定性的其他表现形式,来计算工作包的持续时间
- 项目管理信息系统:进度计划软件,加快进度计划的编制过程
- 敏捷或适应型发布规划
输出
- 进度基准:经批准的进度模型,是项目管理计划的组成部分
- 项目进度计划,可以采用的图形方式包括
- 里程碑图:高层级计划
- 横道图:又称甘特图,概括性进度计划
- 项目进度网络图:详细进度计划
- 进度数据:如按时段的资源需求、备选的进度计划、使用的进度储备等
- 项目日志
- 变更请求
- 项目管理计划更新
- 进度管理计划
- 范围基准
- 项目文件更新
- 活动属性:更新活动属性以反映进度计划过程中对资源需求的修改
- 持续时间估算:如果资源平衡,可能对持续时间估算做出相应地更新
- 资源需求:资源平衡可能改变资源需求
- 假设日志
- 风险登记册
- 经验教训登记册



6、控制进度
一句话总结:基于工作绩效数据及项目关键文件,采用挣值分析、趋势分析和偏差分析等技术,监督基准变更,并对未来绩效预算的过程。
控制进度关注内容
- 判断项目当前状态
- 对引起变更的因素施加影响
- 重新考虑必要的进度储备
- 判断是否已经发生变更
- 实际变更时对其进行管理
输入说明
- 项目管理计划
- 进度管理计划
- 进度基准
- 范围基准
- 绩效测量基准
- 项目文件
- 项目进度计划
- 进度数据
- 项目日历
- 资源日历:显示团队和物质资源的可用性
- 经验教训登记册
- 工作绩效数据:如哪些活动已经开始,进展如何,哪些活动已经完成
- 组织过程资产:进度控制工具
工具和技术说明
- 数据分析
-
挣值分析:评价瓶颈偏离初始进度基准的程度
-
趋势分析:检查项目绩效随时间的变化情况,
-
偏差分析:实际与计划的偏离计划
-
绩效审查
-
迭代燃尽图:用于跟踪迭代尚未完成的工作

-
假设情景分析
-
- 关键路径法:检查关键路径上项目的进展状态
- 资源优化:考虑资源可用情况下,对活动所需资源进行进度规划
- 提前量与滞后量:网络分析中调整提前量和滞后量,设法使进度之后的项目赶上活动计划
- 进度压缩:赶工或快速更新
- 项目管理信息系统:包括进度计划和软件
输出
- 工作绩效信息:与进度基准相比较的项目执行情况
- 进度预测:根据已有数据,对未来情况进行的估算或预计
- 变更请求:通过分析进度偏差,审查进展报告、绩效测量结果,可能对进度基准、范围基准等其他组成部分提出的变更关系。
- 项目管理计划更新
- 进度管理计划
- 进度基准
- 成本基准
- 绩效测量基准
- 项目文件更新
- 估算依据
- 项目进度计划
- 进度数据
- 进度数据
- 资源日历:反映因资源优化、进度压缩以及纠正和预防措施导致的资源日历变更
- 假设日志
- 经验教训登记册
- 风险登记册


















