前序遍历构建二叉树



二叉树的销毁

二叉树的结点个数


二叉树叶子节点个数


二叉树第k层节点个数


二叉树查找值为x的节点


二叉树前序遍历


二叉树中序遍历


二叉树后序遍历


二叉树的层序遍历


判断二叉树是否是完全二叉树


完整代码
test.c
#define _CRT_SECURE_NO_WARNINGS 1
#include <stdio.h>
#include <assert.h>
#include <stdlib.h>
typedef int BTDataType;
typedef struct BinaryTreeNode
{
struct BinaryTreeNode* left;
struct BinaryTreeNode* right;
BTDataType val;
}BTNode;
#include "Queue.h"
// 通过前序遍历的数组"ABD##E#H##CF##G##"构建二叉树
BTNode* BinaryTreeCreate(BTDataType* a, int* pi)
{
if (a[*pi] == -1)
{
++(*pi);
return NULL;
}
BTNode* root = (BTNode*)malloc(sizeof(BTNode));
root->val = a[*pi];
++(*pi);
root->left = BinaryTreeCreate(a, pi);
root->right = BinaryTreeCreate(a, pi);
return root;
}
//二叉树销毁
void BinaryTreeDestory(BTNode** root)
{
if (*root == NULL)
{
return;
}
BinaryTreeDestory(&(*root)->left);
BinaryTreeDestory(&(*root)->right);
free(*root);
*root = NULL;
}
// 二叉树节点个数
int BinaryTreeSize(BTNode* root)
{
if (root == NULL)
{
return 0;
}
return BinaryTreeSize(root->left) + BinaryTreeSize(root->right) + 1;
}
// 二叉树叶子节点个数
int BinaryTreeLeafSize(BTNode* root)
{
if (root == NULL)
{
return 0;
}
if (root->left == NULL && root->right == NULL)
{
return 1;
}
return BinaryTreeLeafSize(root->left) + BinaryTreeLeafSize(root->right);
}
// 二叉树第k层节点个数
int BinaryTreeLevelKSize(BTNode* root, int k)
{
if (root == NULL)
{
return 0;
}
if (k == 1)
{
return 1;
}
return BinaryTreeLevelKSize(root->left, k-1) + BinaryTreeLevelKSize(root->right, k-1);
}
// 二叉树前序遍历
void BinaryTreePrevOrder(BTNode* root)
{
if (root == NULL)
{
return;
}
printf("%d ", root->val);
BinaryTreePrevOrder(root->left);
BinaryTreePrevOrder(root->right);
}
// 二叉树查找值为x的节点
BTNode* BinaryTreeFind(BTNode* root, BTDataType x)
{
if (root == NULL)
{
return NULL;
}
if (root->val == x)
{
return root;
}
BTNode* ret = NULL;
ret = BinaryTreeFind(root->left, x);
if (ret)
{
return ret;
}
ret = BinaryTreeFind(root->right, x);
if (ret)
{
return ret;
}
return NULL;
}
// 二叉树中序遍历
void BinaryTreeInOrder(BTNode* root)
{
if (root == NULL)
{
return;
}
BinaryTreeInOrder(root->left);
printf("%d ", root->val);
BinaryTreeInOrder(root->right);
}
// 二叉树后序遍历
void BinaryTreePostOrder(BTNode* root)
{
if (root == NULL)
{
return;
}
BinaryTreePostOrder(root->left);
BinaryTreePostOrder(root->right);
printf("%d ", root->val);
}
// 层序遍历
void BinaryTreeLevelOrder(BTNode* root)
{
Que q;
QueueInit(&q);
if (root)
{
QueuePush(&q, root);
}
while (!QueueEmpty(&q))
{
BTNode* front = QueueFront(&q);
if (front->left)
{
QueuePush(&q, front->left);
}
if (front->right)
{
QueuePush(&q, front->right);
}
QueuePop(&q);
printf("%d ", front->val);
}
QueueDestroy(&q);
}
// 判断二叉树是否是完全二叉树
bool BinaryTreeComplete(BTNode* root)
{
Que q;
QueueInit(&q);
if (root)
{
QueuePush(&q, root);
}
while (!QueueEmpty(&q))
{
BTNode* front = QueueFront(&q);
if (front == NULL)
{
break;
}
QueuePush(&q, front->left);
QueuePush(&q, front->right);
QueuePop(&q);
}
while (!QueueEmpty(&q))
{
BTNode* front = QueueFront(&q);
QueuePop(&q);
if (front != NULL)
{
QueueDestroy(&q);
return false;
}
}
QueueDestroy(&q);
return true;
}
int main()
{
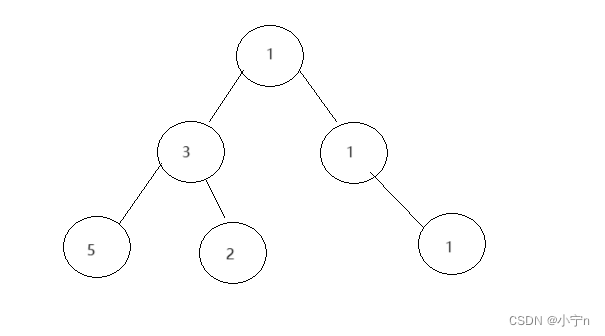
int a[] = { 1,3,5,-1,-1,2,-1,-1,1,-1,1,-1,-1 };
int j = 0;
BTNode* root=BinaryTreeCreate(a, &j);
bool x = BinaryTreeComplete(root);
printf("%d", x);
return 0;
}
Queue.h
#pragma once
#include<stdio.h>
#include<stdlib.h>
#include<assert.h>
#include<stdbool.h>
typedef struct BinaryTreeNode* QDataType;
typedef struct QueueNode
{
struct QueueNode* next;
QDataType data;
}QNode;
typedef struct Queue
{
QNode* head;
QNode* tail;
int size;
}Que;
void QueueInit(Que* pq);
void QueueDestroy(Que* pq);
void QueuePush(Que* pq, QDataType x);
void QueuePop(Que* pq);
QDataType QueueFront(Que* pq);
QDataType QueueBack(Que* pq);
bool QueueEmpty(Que* pq);
int QueueSize(Que* pq);
Queue.c
#define _CRT_SECURE_NO_WARNINGS 1
#include "Queue.h"
void QueueInit(Que* pq)
{
assert(pq);
pq->head = pq->tail = NULL;
pq->size = 0;
}
void QueueDestroy(Que* pq)
{
assert(pq);
QNode* cur = pq->head;
while (cur)
{
QNode* next = cur->next;
free(cur);
cur = next;
}
pq->head = pq->tail = NULL;
pq->size = 0;
}
void QueuePush(Que* pq, QDataType x)
{
assert(pq);
QNode* newnode = (QNode*)malloc(sizeof(QNode));
if (newnode == NULL)
{
perror("malloc fail");
exit(-1);
}
newnode->data = x;
newnode->next = NULL;
if (pq->tail == NULL)
{
pq->head = pq->tail = newnode;
}
else
{
pq->tail->next = newnode;
pq->tail = newnode;
}
pq->size++;
}
void QueuePop(Que* pq)
{
assert(pq);
assert(!QueueEmpty(pq));
if (pq->head->next == NULL)
{
free(pq->head);
pq->head = pq->tail = NULL;
}
else
{
QNode* next = pq->head->next;
free(pq->head);
pq->head = next;
}
pq->size--;
}
QDataType QueueFront(Que* pq)
{
assert(pq);
assert(!QueueEmpty(pq));
return pq->head->data;
}
QDataType QueueBack(Que* pq)
{
assert(pq);
assert(!QueueEmpty(pq));
return pq->tail->data;
}
bool QueueEmpty(Que* pq)
{
assert(pq);
return pq->head == NULL;
}
int QueueSize(Que* pq)
{
assert(pq);
return pq->size;
}