1. 树结构概述
现实生活中,具有很多层次关系:归纳为一种树状结构(一种层级结构)


2. 二叉树
2.2 二叉树分类
3.1.2.1 满二叉树
高度为4的满二叉树

3.1.2.2 完全二叉树
- 若一棵二叉树至多只有最下面两层的结点的度数可以小于2,并且最下层的结点都集中在该层最左边的若干位置上,则此二叉树为完全二叉树。

3.1.3 二叉树描述
数组描述:
高度为h的满二叉树,节点数为2^n -1:每一个节点的编号即为数组存储的下标
3.1.3.1 数组描述


3.1.3.2 链表描述
使用链表描述二叉树十分方便,通过指针实现

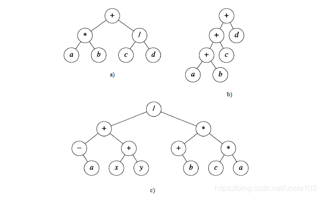
2.1 二叉树应用
2.1.1 数学表达式


3.1.4 最大/最小 问题
最大树/最小树定义:
每个节点都大于(小于)或者等于其子节点的二叉树叫做最大(最小)树
3.1.4.1 最大堆
约束条件:完全树形态的最大树
节点插入 示例:

节点删除 示例:

3.1.4.2 最小堆
约束条件:完全树形态的最小树


3.1.4.3 最大/最小 高度优先左高树
约束条件:任意节点左子树高度大于右子树的最大或者最小树
节点的高度:

高度优先左高树约束条件:
- 左子树高度大于右子树高度
最大高度优先左高树合并

3.1.4.4 最大/最小 重量优先左高树
节点的重量:

3.1.5 输赢问题
3.1.5.1 赢者树
赢者树约束条件:
- 完全二叉树(推荐,也可以不是)
- 外部节点为n,内部节点为n-1(内部节点用于记录胜利的外部节点)

3.1.5.2 输者树


3.1.5 搜索问题
3.1.5.1 二叉搜索树
约束条件:
- 每个节点都有关键值,并且都是唯一的(无重复)
- 对于任意节点,左节点小于根节点,右节点大于根节点
- 子树也是二叉搜索树
节点插入:
查询时,查询节点关键值小于根节点在左子树去找,否则在右子树找(依次递归)

节点删除包括三种情况:
节点为叶节点、节点有一个非空子树,节点有两个非空子树;
-
叶节点删除可以直接删除叶节点即可,是节点插入的逆向操作
-
节点有一个非空子树
分成两种情况处理

-
节点有两个非空子树
把左子树最大节点或者右子树最小节点移动到被删除节点即可

或者移动左子树最大的节点

3.1.5.2 AVL树
对于二叉树搜索树,形状为左斜或者右斜二叉树时,搜索的任意节点其复杂度上限可以表示为O(n),n表示为二叉树节点数目
- 定义 [平衡树]
当确定搜索树的高度总是O ( l o gn)时,能够保证每个搜索树操作所占用的时间为O( l o gn),高度为O( l o gn)的树称为平衡树(balanced tree)
AVL树是一种平衡树
约束条件:
空二叉树是AV L树;
如果T是一棵非空的二叉树,TL 和TR 分别是其左子树和右子树,那么当T满足以下条件时,T是一棵AV L树:
- TL 和TR 是AV L树;
- | hL - hR |≤1, hL 和hR 分别是左子树和右子树的高度。
AVL树图示

AVL树搜索
AVL树插入
AVL树删除
3.1.5.3 红黑树
红黑树是一种平衡树
红黑树约束条件:
R B 1:根节点和所有外部节点的颜色是黑色。
R B 2:根至外部节点途中没有连续两个节点的颜色是红色。
R B 3:所有根至外部节点的路径上都有相同数目的黑色节点。
红黑树搜索
红黑树插入
红黑树删除
3.1.5.4 m杈搜索树
3.1.5.4.1 m杈搜索树
m杈搜索树
3.1.5.4.2 m序B-树
m序 B-树
4 图
图简介




![[附源码]Python计算机毕业设计房屋租赁系统Django(程序+LW)](https://img-blog.csdnimg.cn/3f551495df91423e919043919d2f7451.png)













![[附源码]Python计算机毕业设计Django基于SpringBt的演唱会购票系统论文2022](https://img-blog.csdnimg.cn/ca065841e7154c4683b166faa9c6e6bd.png)