文章目录
- 一【题目类别】
- 二【题目难度】
- 三【题目编号】
- 四【题目描述】
- 五【题目示例】
- 六【解题思路】
- 七【题目提示】
- 八【题目进阶】
- 九【时间频度】
- 十【代码实现】
- 十一【提交结果】
一【题目类别】
- 链表
二【题目难度】
- 中等
三【题目编号】
- 142.环形链表 II
四【题目描述】
- 给定一个链表的头节点 head ,返回链表开始入环的第一个节点。 如果链表无环,则返回 null。
- 如果链表中有某个节点,可以通过连续跟踪 next 指针再次到达,则链表中存在环。 为了表示给定链表中的环,评测系统内部使用整数 pos 来表示链表尾连接到链表中的位置(索引从 0 开始)。如果 pos 是 -1,则在该链表中没有环。注意:pos 不作为参数进行传递,仅仅是为了标识链表的实际情况。
- 不允许修改 链表。
五【题目示例】
-
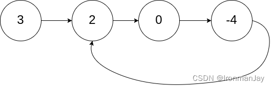
示例 1:

- 输入:head = [3,2,0,-4], pos = 1
- 输出:返回索引为 1 的链表节点
- 解释:链表中有一个环,其尾部连接到第二个节点。
-
示例 2:

- 输入:head = [1,2], pos = 0
- 输出:返回索引为 0 的链表节点
- 解释:链表中有一个环,其尾部连接到第一个节点。
-
示例 3:

- 输入:head = [1], pos = -1
- 输出:返回 null
- 解释:链表中没有环。
六【解题思路】
- 本题是【LeetCode每日一题】——141.环形链表的加强版本
- 首先我们需要找到快慢指针第一次相遇的位置
- 然后再将快指针指向链表头节点
- 之后快指针和慢指针每次都走一步,它们再次相遇的地方就是环的入口
- 最后返回结果即可
- 证明如下:
- 设head(起点)到快慢指针第一次相遇的地方距离为 d d d(也是慢指针的路程),环长为 L L L,head到环的入口距离为 x 1 x_1 x1,快慢指针第一次相遇正方向距离环的入口距离为 x 2 x_2 x2
- 当快慢指针第一次相遇时,快指针走的路程为 L + d L+d L+d(因为快指针肯定比慢指针多走一圈),因为快指针的速度是慢指针的两倍,所以当快慢指针第一次相遇时,慢指针走的路程为 2 d 2d 2d,那么有: L + d = 2 d L+d = 2d L+d=2d,所以 L = d L=d L=d
- 易知: L − x 2 = d − x 1 L-x_2=d-x_1 L−x2=d−x1,所以 x 1 = x 2 x_1=x_2 x1=x2
- 综上所述,当快慢指针第一次相遇后,将慢指针移动到head(起点)到环的入口距离等于慢指针到环的入口的距离,所以当快慢指针此时每次走一步相遇的时候,就是环的入口
七【题目提示】
- 链 表 中 节 点 的 数 目 范 围 在 范 围 [ 0 , 1 0 4 ] 内 链表中节点的数目范围在范围 [0, 10^4] 内 链表中节点的数目范围在范围[0,104]内
- − 1 0 5 < = N o d e . v a l < = 1 0 5 -10^5 <= Node.val <= 10^5 −105<=Node.val<=105
- p o s 的 值 为 − 1 或 者 链 表 中 的 一 个 有 效 索 引 pos 的值为 -1 或者链表中的一个有效索引 pos的值为−1或者链表中的一个有效索引
八【题目进阶】
- 你是否可以使用 O ( 1 ) O(1) O(1) 空间解决此题?
九【时间频度】
- 时间复杂度: O ( n ) O(n) O(n),其中 n n n为链表的长度
- 空间复杂度: O ( 1 ) O(1) O(1)
十【代码实现】
- Java语言版
public class Solution {
public ListNode detectCycle(ListNode head) {
ListNode slow = head;
ListNode fast = head;
while(true){
if(fast == null || fast.next == null){
return null;
}
slow = slow.next;
fast = fast.next.next;
if(slow == fast){
break;
}
}
fast = head;
while(fast != slow){
slow = slow.next;
fast = fast.next;
}
return fast;
}
}
- C语言版
struct ListNode *detectCycle(struct ListNode *head)
{
struct ListNode* slow = head;
struct ListNode* fast = head;
while(true)
{
if(fast == NULL || fast->next == NULL)
{
return NULL;
}
slow = slow->next;
fast = fast->next->next;
if(slow == fast)
{
break;
}
}
fast = head;
while(slow != fast)
{
slow = slow->next;
fast = fast->next;
}
return fast;
}
十一【提交结果】
-
Java语言版

-
C语言版




















