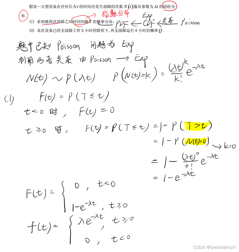
泊松分布和指数分布的关系
泊松分布用于描述单位时间(或面积内)随机事件发生的次数(离散型随机变量), λ \lambda λ表示随机事件在单位时间(或面积内)发生的平均次数
The Poisson distribution deals with the number of occurrences in a fixed period of time

指数分布用来表示随机事件发生的时间间隔(连续型随机变量),单位时间的平均发生率 λ \lambda λ ,平均发生间隔时间1 / λ /\lambda /λ
The exponential distribution deals with the time between occurrences of successive events as time flows by continuously

泊松分布和指数分布的关系
The exponential distribution or negative exponential distribution is the probability distribution of the time between events in a Poisson point process–摘自:Exponential distribution

 1993年数三
 

















