(1)引导滤波
局部窗口内输出图像O和引导图像G成线性关系Oi=akGi+bk, ∀i∈Ωk
假设输出图像O和输入图像I之间的关系为Oi=Ii−ni,噪声最小即最小化ni,即

每个像素点i包含于多个窗口Ωk,每个窗口都会得到一个a、b值,对所有窗口得到的像素点i的a、b值做平均,a*G+b=O,得到输出图像O。
引导滤波中的半径r、规整项参数ϵ与双边滤波中的σs和σr^2
r越大,图像越模糊,ϵ越大,图像越模糊 (约束ak的平方不能太大)ak越小,导致akGi+bk-Ii差得很远,模糊。
引导滤波的滤波核:
Gi和Gk在均值的同一边,相似度高;在均值的不同边,相似度低。高相似度的值进行加权平均,起到保边的作用。
对比:
相比于双边滤波器,引导滤波可以有效去除梯度反转(Gradient reversal)
引导滤波器和双边局部滤波器都会产生halo伪像
引导滤波器没有spatial核,所以没有双边滤波器稳定,它只管颜色相似,不管位置。
改进效果:
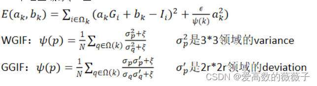
根据图片内容去调整模糊程度ϵ:WGIF,GGIF
边缘区域ϵ小一些
平坦区域ϵ大一些

越平坦,根据GGIF,越小;越边缘,根据WGIF,越大
进一步提升速度:降采样。图片降采样,在降采样的图片上算a和b,再给a,b求均值,再给a,b直接上采样,再按公式算。
(2)领域转换滤波
保边滤波结果=仿射矩阵输入图像->O=AI
如果能够将图像(三维数据点)数据映射到二维数据点,并且能够保证仿射矩阵不变,就能提高滤波效率,然而三维到二维的变换是不存在的,二维(一行或者一列图像)到一维的变换是存在的
将二维上曲线的距离拉成一维上两个定义域的距离:
采用一范式,距离:|x1-x2|+|y1-y2|

一维领域转换保边滤波:
图C什么意思不太懂
在图像上,通常计算相似度的时候会考虑给定义域(Domain)和值域(Range)不同的权重σ,而在一维数据中,我们只有一个参数了,假设转换后的滤波核参数是σH=σs
转换时嵌入:
(谁更重要加个权)
前面讲了图像的一行滤波,然而图像是二维的,在二维图像进行领域转换滤波,作者提出要迭代进行行滤波、列滤波,每个行滤波跟着一个列滤波。每次迭代降低滤波参数σH(以此去除条带状伪像)

第i轮的滤波参数
作者提出了三种一维上的滤波方法:NC IC RF
领域转换后并不是均匀采样。NC的原理是直接把缺失的点当0算,IC的原理是把缺失的点插值,按均匀采样在转换后的Domain里面做Box filter,r=√3σH

NC和IC原理图
RF递归滤波公式:

I代表原图像,J代表滤波输出

两点之间的梯度

定值在0到1
假设d很大,导致两点之间差异大梯度大,是个非常明显的边界,前面一点对它的影响很小。



















