基于双层优化的微电网系统规划设计方法matlab程序(yalmip+cplex)
参考文献:基于双层优化的微电网系统规划设计方法
摘要:规划设计是微电网系统核心技术体系之一。从分布式电源的综合优化(组合优化、容量优化)和分布式电源间的调度优化两个方面对其展开研究。根据分布式电源特性,提出了适用于并网型微电网系统和独立型微电网系统的双层优化规划设计模型。上层优化采用综合目标计算系统最优配置;下层优化采用混合整数线性规划算法(MILP)计算系统最优运行方案。运用所建立模型,针对并网型微电网系统作了案例计算, 验证了所提方法的正确性。
关键词:微电网;双层优化;规划设计;综合目标;MILP
1 微电网系统规划设计架构研究
1.1 微电网系统结构
本文研究的微电网系统结构如图1所示。风力发电机、光伏发电和储能系统等通过各自的变流器接入交流微电网系统,并通过公共连接点(PCC)与配电网连接,组成并网型微电网。通过对该微电网的控制,可实现微电网的孤岛和并网运行。柴油发电机采用同步发电机发电,直接并入交流微电网。在优化规划设计中,忽略线路阻抗引起的损耗。

1.2 微电网系统双层规划设计结构
本文采用双层优化规划方法对微电网系统进行优化,上层为容量优化模块,用于寻找系统最优配置,包括系统各设备类型、台数和容量,下层为调度优化模块,用于计算系统最优运行方案。
双层优化含有两个层次,上层决策结果一般会影响下层目标和约束条件,而下层则将决策结果反馈给上层,从而实现上下层决策的相互作用,如图2 所示为本文双层优化逻辑图。

2 基于双层优化的微电网系统规划设计数学模型2.1 双层优化模型
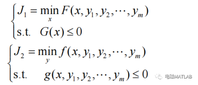
Bracken J 和 McGill J T 于 1973 年最早提出了多层规划的概念,已解决多层规划/优化问题,双层规划是多层规划的特例。双层规划在输电系统、无功优化、配电系统优化规划等领域已有研究报道。数学上双层优化可描述为

式中:F(•)为上层优化的目标函数;x 为上层优化的决策向量;G(•)为上层优化所需满足的约束条件;f(•)为下层优化的目标函数;y 为下层优化的决策向量;g(•)为下层优化所需满足的约束条件。
2.2 上层容量优化模型2.2.1 目标函数
本文选取微电网项目周期内系统经济性能和环保性能作为评估系统优劣的指标,可描述为

(1) 全寿命周期经济现值微电网系统的全寿命周期经济现值可由下式计算。

式中:CTANN 指等年值费用;CRFl 指资本回收系数(the Capital Recovery Factor),可由下式计算。

式中:l 表示年数;r 表示资本的年利率。
系统等年值费用由设备投资等年值费用和系统年运行和设备维护费用组成。计算公式为

式中:CTANN指项目投资等年值费用;Cfac指设备投资等年值;Cope 指系统年运行费用;COM 指设备年维护费用。
设备投资等年值费用使用下式计算。

式中:CI,i 指设备 i 初始投资费用;li 为设备 i 运行寿命期望值。
系统年运行费用包括系统购电费用、燃料购买费用和卖电收益,计算公式为

式中:CE指系统年购电费用;CF指系统年购买燃料费用;CS指年卖电收益。
(2) 污染物排放
柴油发电机以柴油作为主要燃料,其污染物包括 CO、CO2、燃料中未燃烧尽的碳氢化合物、硫化物和一氧化氮。污染物的排放量与燃料消耗量直接相关。微电网年排放水平等于年燃料消耗量乘以其气体排放系数。

其中:σCO2、σCO、σHC、σNO、σS分别代表各污染物的排放系数(kg/L);vF 代表柴油发电机的年消耗燃料量(L)。
2.3 下层调度优化模型2.3.1 目标函数
调度优化模型选取 24 h 为调度尺度,实现系统的动态经济调度,以系统日运行费用最低为目标函数,包括日购电费用、日燃料购买费用、日卖电收益。

式中:Ce指系统日购电费用;Cf指系统日燃料购买费用;Cs 指系统日卖电收益。
2.3.2 约束条件2.3.2.1 功率平衡约束

式中:PG 指电网购电功率;PS 指电网卖电功率;PDG 指柴油发电机功率;PCON 指变流器功率,整流为负,逆变为正;PL 指负荷功率;PPV 指光伏发电功率;PWT指风机发电功率。
2.3.2.2 设备性能约束
(1) 柴油发电机
本文采用简化线性功率燃料曲线描述柴油发电机发电量和燃料消耗量之间的关系为

其中:F0 是燃料曲线的截距系数(L/h/kW);F1 是燃料曲线的斜率(L/h/kW);Ygen 是发电机的额定容量(kW)。
由于柴油发电机运行于低负载率时效率较低,为使燃气发电机以高效率运行,柴油发电机出力应满足如下式的约束。

其中:PDG,min和 PDG,max分别是柴油发电机出力的最小有功功率和最大有功功率(kW);uDG 是二进制变量,标志柴油发电机的启停(0 表示关机,1 表示开机)。
(2) 蓄电池性能约束
蓄电池作为储能设备,其能量存储就有时间上的耦合性,即本时刻的储能状态受上一时刻储能状态影响。即

式中:WtB和 Wt-1B分别为 t 和 t1 时段蓄电池储能状态;ηB,l指蓄电池自损耗率;PtB,c和 PtB,d分别指蓄电池最大充电功率和最大放电功率;CB指蓄电池容量。
3 算例
选取我国南部某社区四个季节典型日作为研究对象,该社区建有光伏系统、风机系统、柴油发电机以及蓄电池,并网运行。
4 程序运行结果
1)迭代结果

2)典型日1结果

2)典型日2结果

2)典型日3结果

2)典型日4结果

4 matlab程序
%% 考虑四种典型日下的双层规划
clc
clear
warning off
close all
tic
%% 设置参数
canshu;
%% 初始值
%% 上层
%初始折现成本+投资成本+购售电成本和燃料成本 +运维成本
%LB为初始折现成本+投资成本+购售电成本+燃料成本 +运维成本
%yita购售电成本+燃料成本+运维成本
[yita,LB,ee_bat_int, p_wt_int,p_pv_int,p_g_int] = UP_1(rp,rbat,rPV,rWT,rG);
%% 下层
%UB为上层(折现成本+投资成本)+下层(购售电成本+燃料成本 +运维成本)
[p_wt,p_pv,p_load,x,UB,p_g,p_ch,p_dis,p_buy,p_sell] = DOWN_(ee_bat_int,p_wt_int,p_pv_int,p_g_int,LB,yita);
%UB1为初始上层(折现成本+投资成本)+下层(购售电成本+燃料成本 +运维成本)
UB1 = UB;
%% p为上层(购售电成本+燃料成本 +运维成本)与下层(购售电成本+燃料成本 +运维成本)差
p(1)= UB - LB;
e=100;%收敛度
%% 开始迭代
.。。。。。略













![[算法笔记]最长递增子序列和编辑距离](https://img-blog.csdnimg.cn/8b9eb342e9e54f05b4542a12267bd7f9.jpeg#pic_center)

![[附源码]SSM计算机毕业设计时事资讯平台JAVA](https://img-blog.csdnimg.cn/14ea4e7b870a4e659bb7d1ac73269326.png)



