文章目录
- 机器学习简介
- 机器学习是什么
- quiz
- 监督学习
- 回归问题
- 分类问题
- quiz
- 无监督学习
- 聚类问题
- quiz
- 练习测试:监督学习与无监督学习
- 线性回归
- 线性回归模型第一部分
- 基本术语
- 线性回归模型第二部分
- quiz
- 选学实验:线性回归模型
- 代价函数公式
- quiz
- 代价函数的直观理解
- quiz
- 可视化代价函数
- 可视化的例子
- 选学实验:线性回归模型
- 练习测试:线性回归
- 使用梯度下降训练模型
- 梯度下降
- 实现梯度下降
- quiz
- 梯度下降直观理解
- quiz
- 学习率
- 线性回归的梯度下降
- 运行梯度下降
- 选学实验:线性回归的梯度下降
- 练习测试:使用梯度下降训练模型
- 多输入变量的回归模型
- 多元特征
- 基本术语
- quiz
- 向量化第一部分
- quiz
- 向量化第二部分
- quiz
- 选学实验:Python、NumPy 和向量化
- 多元线性回归的梯度下降
- 可选实验:多元线性回归
- 练习测试:多元线性回归
- 特征缩放第一部分
- 特征缩放第二部分
- quiz
- 检查梯度下降是否收敛
- 学习率的选择
- quiz
- 可选实验:特征缩放和学习率
- 如果喜欢我的文章,请记得三连哦,点赞关注收藏,你的每一个赞每一份关注每一次收藏都将是我前进路上的无限动力 !!!↖(▔▽▔)↗感谢支持,下期更精彩!!!
机器学习简介
- Define machine learning
- Define supervised learning
- Define unsupervised learning
- Write and run Python code in Jupyter Notebooks
- Define a regression model
- Implement and visualize a cost function
- Implement gradient descent
- Optimize a regression model using gradient descent
机器学习是什么

quiz



监督学习


回归问题

分类问题




quiz

无监督学习


聚类问题



quiz


练习测试:监督学习与无监督学习

线性回归
线性回归模型第一部分


基本术语

线性回归模型第二部分

quiz

选学实验:线性回归模型

代价函数公式



quiz

代价函数的直观理解





quiz

可视化代价函数




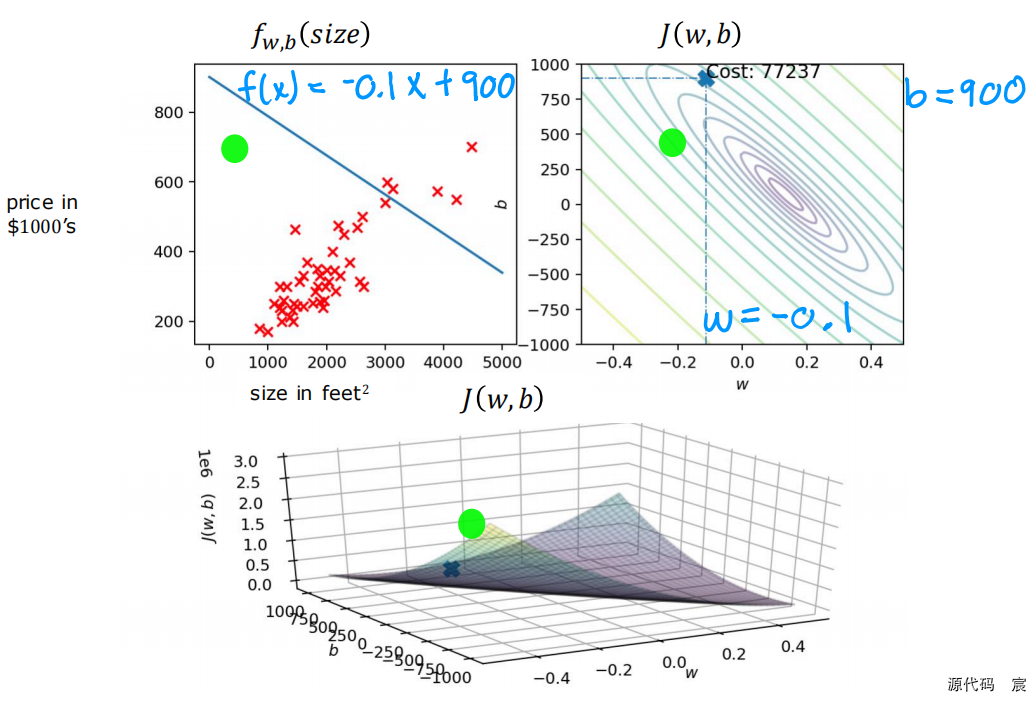
可视化的例子




选学实验:线性回归模型

练习测试:线性回归

使用梯度下降训练模型
梯度下降


实现梯度下降

quiz

梯度下降直观理解


quiz

学习率



线性回归的梯度下降





运行梯度下降



选学实验:线性回归的梯度下降


关于python语法不熟练的可以参考官方文档
练习测试:使用梯度下降训练模型

多输入变量的回归模型
- Use vectorization to implement multiple linear regression
- Use feature scaling, feature engineering, and polynomial regression to improve model training
- Implement linear regression in code
多元特征

基本术语



quiz

向量化第一部分

quiz

向量化第二部分


quiz

选学实验:Python、NumPy 和向量化

多元线性回归的梯度下降



可选实验:多元线性回归

练习测试:多元线性回归

特征缩放第一部分



特征缩放第二部分




quiz

检查梯度下降是否收敛


学习率的选择


quiz

可选实验:特征缩放和学习率


















