目录
0 前言
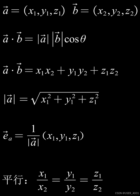
1 向量的点乘
1.1 基本公式
1.2 例题
2 向量的叉乘
2.1 基础知识
2.2 例题
3 空间平面方程
3.1 基础知识
3.2 例题
4 空间直线方程
4.1 基础知识
4.2 例题
5 旋转曲面及其方程
5.1 基础知识
5.2 例题
6 空间曲面的法线与切平面
6.1 基础知识
6.2 例题
7空间曲线的切线与法平面
7.1 基础知识
7.2 例题
0 前言
来源:蜂考
1 向量的点乘
1.1 基本公式


1.2 例题

答案:2

答案:π/3

答案:2/3

答案:-6

答案:




知识点:

答案:2

知识点:

2 向量的叉乘
2.1 基础知识
方向:


大小:

如何求:
黄色对角线相乘减去红色对角线相乘

2.2 例题

答案:(5, 1, 7)

答案:二分之根号二
知识点:

3 空间平面方程
3.1 基础知识

3.2 例题

答案:


答案:


答案:C
知识点:
平行与哪个轴,哪个量不存在,例如本题中平行与x轴,则A=0
过x轴必过原点,代入即可求出D

答案:B
知识点:求两个平面夹角


答案:1
知识点:
1.求点到直线的距离

2.求两个平行平面的距离

4 空间直线方程
4.1 基础知识
表示空间直线的三种形式:


4.2 例题

答案:



答案:(3, 3, -2)
知识点:
利用参数方程形式代入平面方程中解出t再回代,即可求交点

答案:π/4
知识点:求直线夹角


答案:C
知识点:
判断平行之后要分类讨论

5 旋转曲面及其方程
5.1 基础知识
绕谁谁不变,再把等号另一端的变量换成平方和开根的形式,见例题1


从左到右依次是:球面、上半球面、旋转抛物面、圆锥面
第二个等式右边加负号则是下半球面
第四个左右同时平方表示上下都有圆锥面
在空间几何中,若某个轴没有值则表示无限延伸
5.2 例题

答案:

知识点:


答案:

答案:D


答案:D
知识点:平行与哪个轴就没有哪个分量

答案:

知识点:没有哪个值都消去哪个值,如本题消去z
6 空间曲面的法线与切平面
6.1 基础知识

6.2 例题

答案:

知识点:将原式移到左边构造F,然后分别求x、y、z的偏导,并将点代入

7空间曲线的切线与法平面
7.1 基础知识


7.2 例题

答案:

知识点:
给参数方程时,直接分别对t求导即可
求交点直接把t代入参数方程即可

答案:

写成以下形式

知识点:
求空间曲线法向量:构造F,分别求偏导,代入点即可
求空间平面法向量:直接取系数
此题还会考空间曲线与空间曲线联立,不论哪种,求法向量与方向向量都是一样的方法:












![[10-3]软件I2C读写MPU6050 江协科技学习笔记(16个知识点)](https://i-blog.csdnimg.cn/direct/4d4c7839d80d427f8e7c008410ac0a2d.png)







