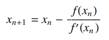
为了寻找方程

可以使用Newton-Raphson迭代方法:

NRIter[func_, xzero_, n_ : 5] :=
Module[{pointlist = {}, x, xold = xzero, xnew, f, df, xl, xr, k},
f[x_] = func[x];
df[x_] = D[func[x], x];
Do[
(pointlist = Join[pointlist, {{xold, 0}}, {{xold, f[xold]}}];
xnew = xold - f[xold]/df[xold];
xold = xnew
),
{k, 1, n}
];
xl = Min[First[Transpose[pointlist]]] - 0.5;
xr = Max[First[Transpose[pointlist]]] + 0.5;
Plot[f[x], {x, xl, xr}, PlotRange -> All,
PlotStyle -> {{Thickness[0.001], Dashing[{0.005, 0.005}]}},
Epilog -> {Thickness[0.001], Line[pointlist]}
]
]
NRIter[(#^3 + #^2 - 3) &, 3.5]

NRIter[Sin, 1.404091, 10]




















