网络模型 mobileNet
- mobileNet V1
- 网络结构
- 深度可分离卷积
- 空间可分
- 参考
mobileNet V1
网络结构
MobileNetV1可以理解为VGG中的标准卷积层换成深度可分离卷积
可分离卷积主要有两种类型:空间可分离卷积和深度可分离卷积,这里使用深度可分离卷积。

深度可分离卷积
深度可分离卷积,将普通卷积拆分成为一个深度卷积和一个逐点卷积

-
深度卷积

与标准卷积网络区别是将卷积核拆分成为单通道形式,在不改变输入特征图像的深度的情况下,对每一通道进行卷积操作,得到和输入特征图通道数一致的输出特征图。如上图:12×12×3的特征图,经过5×5×1×3的深度卷积后,得到8×8×3的输出特征图。输入和输出维度是不变(都是3). -
逐点卷积

在深度卷积的过程中得到8×8×3的输出特征图,用256个1×1×3的卷积核对输入特征图进行卷积操作,输出的特征图和标准的卷积操作一样都是8×8×256了 -
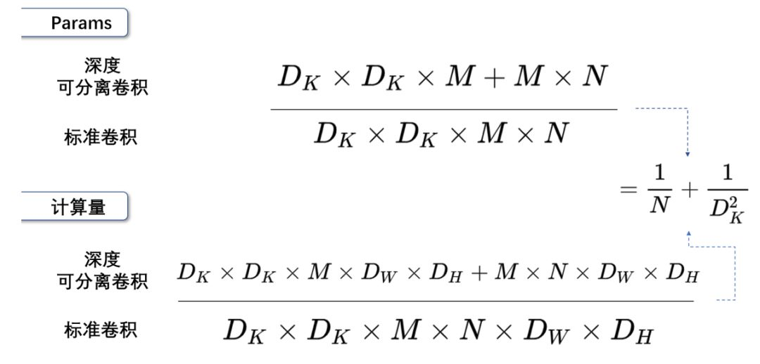
优点
更少的参数,更少的运算,但是能达到差不多的结果;按照3×3的卷积核计算,参数和计算量会下降到原来的九分之一到八分之一


空间可分
离卷积
将一个大的卷积核变成两个小的卷积核,比如将一个3×3的核分成一个3×1和一个1×3的核:

参考
轻量级神经网络系列——MobileNet V1



















