题目
206. 反转链表
给你单链表的头节点 head ,请你反转链表,并返回反转后的链表。
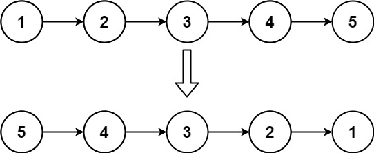
示例 1:

输入:head = [1,2,3,4,5] 输出:[5,4,3,2,1]
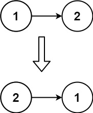
示例 2:

输入:head = [1,2] 输出:[2,1]
示例 3:
输入:head = [] 输出:[]
提示:
- 链表中节点的数目范围是
[0, 5000] -5000 <= Node.val <= 5000
分析
边界条件:首先判断head是不是nil,是的话就直接返回了
思路分析:整一个pre作为中间人,每次将head指向Node,然后依次翻转。最后pre就是反转后的头节点
代码
/**
* Definition for singly-linked list.
* type ListNode struct {
* Val int
* Next *ListNode
* }
*/
func reverseList(head *ListNode) *ListNode {
if head == nil{
return head
}
var pre *ListNode
for head !=nil{
next := head.Next
head.Next = pre
pre = head
head = next
}
return pre
}
时间复杂度:O(n)
空间复杂度:O(1)



















