207. 课程表(Course Schedule)
你这个学期必须选修 numCourses 门课程,记为 0 到 numCourses - 1 。
在选修某些课程之前需要一些先修课程。先修课程按数组 prerequisites 给出,其中 prerequisites[i] = [ai, bi] ,表示如果要学习课程 ai 则必须先学习课程 bi 。
例如,先修课程对 [0, 1] 表示:想要学习课程 0 ,你需要先完成课程 1 。
请你判断是否可能完成所有课程的学习?如果可以,返回 true ;否则,返回 false 。
示例 1:
输入:numCourses = 2, prerequisites = [[1,0]]
输出:true
解释:总共有 2 门课程。学习课程 1 之前,你需要完成课程 0 。这是可能的。
示例 2:
输入:numCourses = 2, prerequisites = [[1,0],[0,1]]
输出:false
解释:总共有 2 门课程。学习课程 1 之前,你需要先完成课程 0 ;并且学习课程 0 之前,你还应先完成课程 1 。这是不可能的。
提示:
1 <= numCourses <= 2000
0 <= prerequisites.length <= 5000
prerequisites[i].length == 2
0 <= ai, bi < numCourses
prerequisites[i] 中的所有课程对互不相同
拓扑排序
为了解决课程表问题,可以使用拓扑排序来判断是否存在环。如果存在环,则无法完成所有课程学习,否则可以完成。
拓扑排序是一种将有向无环图(DAG)中的顶点排成一个线性序列的方法。如果图中存在环,则无法进行拓扑排序。
具体步骤如下:
- 构建图和入度表:根据先修课程关系构建图,并记录每个课程的入度。
- 使用队列进行拓扑排序:将所有入度为
0的课程加入队列,然后逐步减少相邻课程的入度。如果一个课程的入度变为0,将其加入队列。 - 判断是否完成所有课程:如果最终排序的课程数量等于总课程数,则可以完成所有课程学习。
C++ ACM 模式实现
#include <iostream>
#include <vector>
#include <queue>
using namespace std;
bool canFinish(int numCourses, vector<pair<int, int>>& prerequisites) {
// 构建图和入度表
vector<vector<int>> graph(numCourses);
vector<int> inDegree(numCourses, 0);
for (const auto& prereq : prerequisites) {
int to = prereq.first;
int from = prereq.second;
graph[from].push_back(to);
inDegree[to]++;
}
// 拓扑排序
queue<int> q;
for (int i = 0; i < numCourses; ++i) {
if (inDegree[i] == 0) {
q.push(i);
}
}
int count = 0;
while (!q.empty()) {
int node = q.front();
q.pop();
count++;
for (int neighbor : graph[node]) {
inDegree[neighbor]--;
if (inDegree[neighbor] == 0) {
q.push(neighbor);
}
}
}
return count == numCourses;
}
int main() {
int numCourses = 2;
vector<pair<int, int>> prerequisites = {{1, 0}};
bool result = canFinish(numCourses, prerequisites);
cout << (result ? "true" : "false") << endl;
return 0;
}
代码说明
-
构建图和入度表:
graph是邻接表,表示每个课程的后续课程。inDegree记录每个课程的入度(即需要先修的课程数量)。
-
拓扑排序:
- 使用队列存储所有入度为
0的课程。 - 每次取出一个课程,减少其后续课程的入度,如果后续课程的入度变为0,则加入队列。
- 使用队列存储所有入度为
-
判断是否完成所有课程:
- 如果最终完成的课程数量等于总课程数,则返回
true,否则返回false。
- 如果最终完成的课程数量等于总课程数,则返回
复杂度
- 时间复杂度:
O(V + E),其中V是课程数,E是先修课程关系数。 - 空间复杂度:
O(V + E),用于存储图和入度表。
210. 课程表 II(Course Schedule II)
现在你总共有 numCourses 门课需要选,记为 0 到 numCourses - 1。给你一个数组 prerequisites,其中 prerequisites[i] = [ai, bi],表示在选修课程 ai 前必须先选修 bi。
例如,想要学习课程 0,你需要先完成课程 1,我们用一个匹配来表示:[0, 1]。
请你返回为了学完所有课程所安排的学习顺序。可能会有多个正确的顺序,你只要返回任意一种就可以。如果不可能完成所有课程,返回一个空数组。
示例 1
输入:numCourses = 2, prerequisites = [[1,0]]
输出:[0,1]
解释:总共有 2 门课程。要学习课程 1,你需要先完成课程 0。因此,正确的课程顺序为 `[0,1]`。
示例 2
输入:numCourses = 4, prerequisites = [[1,0],[2,0],[3,1],[3,2]]
输出:[0,2,1,3]
解释:总共有 4 门课程。要学习课程 3,你应该先完成课程 1 和课程 2,并且课程 1 和课程 2 都应该排在课程 0 之后。因此,一个正确的课程顺序是 `[0,1,2,3]`。另一个正确的排序是 `[0,2,1,3]`。
示例 3
输入:numCourses = 1, prerequisites = []
输出:[0]
提示
1 <= numCourses <= 2000
0 <= prerequisites.length <= numCourses * (numCourses - 1)
prerequisites[i].length == 2
0 <= ai, bi < numCourses
ai != bi
所有 [ai, bi] 互不相同
拓扑排序+输出
- 构建图和入度表:根据先修课程关系构建图,同时记录每个课程的入度(即需要先修的课程数量)。
- 初始化队列:将所有入度为
0的课程加入队列,这些课程可以立即学习。 - 拓扑排序:每次从队列中取出一个课程,将其加入结果列表。然后遍历该课程的所有后续课程,将它们的入度减
1。如果某个后续课程的入度变为0,则将其加入队列。 - 判断结果:如果结果列表的长度等于总课程数,则说明所有课程都可以完成,返回结果列表;否则,返回空数组。
C++ ACM 模式实现
#include <iostream>
#include <vector>
#include <queue>
using namespace std;
vector<int> findOrder(int numCourses, vector<pair<int, int>>& prerequisites) {
vector<int> result;
vector<vector<int>> graph(numCourses);
vector<int> inDegree(numCourses, 0);
// 构建图和入度表
for (const auto& prereq : prerequisites) {
int to = prereq.first;
int from = prereq.second;
graph[from].push_back(to);
inDegree[to]++;
}
// 初始化队列,添加所有入度为0的课程
queue<int> q;
for (int i = 0; i < numCourses; ++i) {
if (inDegree[i] == 0) {
q.push(i);
}
}
// 拓扑排序
while (!q.empty()) {
int course = q.front();
q.pop();
result.push_back(course);
for (int nextCourse : graph[course]) {
inDegree[nextCourse]--;
if (inDegree[nextCourse] == 0) {
q.push(nextCourse);
}
}
}
// 如果结果列表的长度等于总课程数,说明可以完成所有课程
if (result.size() == numCourses) {
return result;
} else {
return {};
}
}
int main() {
int numCourses = 4;
vector<pair<int, int>> prerequisites = {{1, 0}, {2, 0}, {3, 1}, {3, 2}};
vector<int> result = findOrder(numCourses, prerequisites);
if (!result.empty()) {
cout << "学习顺序为: ";
for (int course : result) {
cout << course << " ";
}
cout << endl;
} else {
cout << "无法完成所有课程" << endl;
}
return 0;
}
代码说明
- 构建图和入度表:
- 邻接表
graph用于表示每个课程的后续课程。 - 入度表
inDegree用于记录每个课程的入度(需要先修的课程数量)。
- 邻接表
- 拓扑排序:
- 使用队列存储所有入度为0的课程。
- 每次取出一个课程,将其加入结果列表,并减少其后续课程的入度。
- 判断结果:
- 如果结果列表的长度等于总课程数,说明所有课程都可以完成,返回结果列表。
- 否则,返回空数组,表示无法完成所有课程。
复杂度
- 时间复杂度:O(V + E),其中 V 是课程数,E 是先修课程关系数。
- 空间复杂度:O(V + E),用于存储图和入度表。
269. 火星词典(Alien Dictionary)
现有一种使用英语字母的火星语言,这门语言的字母顺序对你来说是未知的。给你一个来自这种外星语言字典的字符串列表 words,words 中的字符串已经按这门新语言的字典序进行了排序。
- 如果这种说法是错误的,并且给出的 words 不能对应任何字母的顺序,则返回 “”。
- 否则,返回一个按新语言规则的字典递增顺序排序的独特字符串。如果有多个解决方案,则返回其中任意一个。
示例 1
输入:words = ["wrt","wrf","er","ett","rftt"]
输出:"wertf"
示例 2
输入:words = ["z","x"]
输出:"zx"
示例 3
输入:words = ["z","x","z"]
输出:""
解释:不存在合法字母顺序,因此返回 ""。
提示
1 <= words.length <= 100
1 <= words[i].length <= 100
words[i] 仅由小写英文字母组成
拓扑排序+字符
把每个单词看作由字符组成的序列。按字典序排列的单词列表中,相邻两个单词的第一个不同字符确定了这两个字符的先后顺序。比如单词 a 和单词 b,假设它们前面几个字符都相同,第 k 个字符 a[k] 和 b[k] 不同,那么 a[k] 应该在 b[k] 之前。
基于这样的规则,遍历给定的单词列表,对相邻单词进行比较,找到每对相邻单词中第一个不同的字符对,从而确定字符之间的顺序关系,并构建一个有向图来表示这些字符的先后顺序关系。
同时,要记录每个字符的入度,入度表示有多少个字符需要排在这个字符之前。
利用拓扑排序算法来确定字符的顺序。
- 初始化一个队列,将所有入度为
0的字符加入队列。这些字符没有其他字符需要排在它们前面,可以作为字典序的开头部分。 - 每次从队列中取出一个字符,将其加入结果序列。然后,遍历该字符在图中的所有相邻字符(即需要排在这个字符之后的字符),将这些相邻字符的入度减
1。如果某个相邻字符的入度减到0,则将其加入队列。 - 重复上述过程,直到队列为空。
最后检查结果序列是否包含了所有出现过的字符。如果包含,则说明存在一种合法的字典序,该序列为所求结果之一;如果不包含,说明图中存在环,无法确定合法的字典序,返回空字符串。
以下是示例 1 的详细推导过程:
输入:words = ["wrt","wrf","er","ett","rftt"]
比较相邻单词:
"wrt" 和 "wrf":第一个不同的字符是 t 和 f,所以 t 应该在 f 之前。
"wrf" 和 "er":第一个字符 w 和 e,w 应该在 e 之前。
"er" 和 "ett":第一个不同的字符是 r 和 t,r 应该在 t 之前。
"ett" 和 "rftt":第一个字符 e 和 r,e 应该在 r 之前。
构建图后,进行拓扑排序得到一个可能的顺序 "wertf"。
c++ ACM 模式实现
#include <iostream>
#include <vector>
#include <queue>
#include <unordered_map>
#include <unordered_set>
using namespace std;
string alienOrder(vector<string>& words) {
// 构建图和入度表
unordered_map<char, unordered_set<char>> adj;
unordered_map<char, int> indegree;
// 初始化所有出现的字符
for (string word : words) {
for (char c : word) {
if (!adj.count(c)) {
adj[c] = unordered_set<char>();
indegree[c] = 0;
}
}
}
// 构建图和入度表
for (int i = 0; i < words.size() - 1; i++) {
string word1 = words[i];
string word2 = words[i + 1];
int len = min(word1.size(), word2.size());
for (int j = 0; j < len; j++) {
if (word1[j] != word2[j]) {
// word1[j] 应该在 word2[j] 之前
if (!adj[word1[j]].count(word2[j])) {
adj[word1[j]].insert(word2[j]);
indegree[word2[j]]++;
}
break; // 只比较第一个不同的字符
}
}
}
// 拓扑排序
queue<char> q;
// 初始化队列,将入度为 0 的字符加入队列
for (auto& pair : indegree) {
if (pair.second == 0) {
q.push(pair.first);
}
}
string result;
while (!q.empty()) {
char c = q.front();
q.pop();
result += c;
// 遍历相邻字符并更新入度
for (char neighbor : adj[c]) {
indegree[neighbor]--;
if (indegree[neighbor] == 0) {
q.push(neighbor);
}
}
}
// 检查结果是否包含所有字符
if (result.size() != adj.size()) {
return ""; // 存在环,无法确定字典序
}
return result;
}
int main() {
vector<string> words1 = {"wrt", "wrf", "er", "ett", "rftt"};
cout << alienOrder(words1) << endl; // 输出 "wertf"
vector<string> words2 = {"z", "x"};
cout << alienOrder(words2) << endl; // 输出 "zx"
vector<string> words3 = {"z", "x", "z"};
cout << alienOrder(words3) << endl; // 输出 ""
return 0;
}
代码说明
-
构建图和入度表 :
- 使用
unordered_map<char, unordered_set<char>> adj存储图的邻接表,其中键是字符,值是该字符后面可以跟的字符集合。 - 使用
unordered_map<char, int> indegree存储每个字符的入度,表示有多少个字符需要排在这个字符之前。 - 遍历
words列表中的所有单词,初始化所有出现的字符到图和入度表中。
- 使用
-
比较相邻单词构建图关系 :
- 遍历
words列表中的相邻单词对,比较每对单词的第一个不同字符。 - 根据第一个不同字符确定字符之间的顺序关系,并更新图和入度表。
- 遍历
-
拓扑排序 :
- 初始化一个队列,将所有入度为 0 的字符加入队列。
- 每次取出队列中的一个字符,将其加入结果字符串。然后遍历该字符的所有相邻字符,更新它们的入度。如果某个相邻字符的入度变为 0,则将其加入队列。
-
检查结果的有效性 :
- 如果结果字符串的长度等于图中所有字符的数量,则说明存在一种合法的字典序,返回结果字符串。
- 否则,说明图中存在环,无法确定合法的字典序,返回空字符串。
代码错误
当输入为 ["abc","ab"] 时,我们比较这两个单词:
- 第一个单词是
"abc",第二个单词是"ab"。 - 两个单词的前两个字符
"ab"相同。 - 第一个单词在第三个字符处多了一个
'c',而第二个单词已经结束。
根据字典序规则,较短的单词应该排在较长的单词前面,当且仅当较短的单词是较长单词的前缀。在这个例子中,第二个单词 "ab" 是第一个单词 "abc" 的前缀,但在这个输入中,较短的单词出现在较长的单词之后,这违反了字典序规则。因此,不存在合法的字典序。
在之前的代码实现中,我们需要处理这种情况。具体来说,我们需要在比较相邻单词时,检查是否会出现短单词在长单词后面的情况,并且短单词是长单词的前缀。如果是这样,则直接返回空字符串 ""。
代码修改
检查非法情况 :在比较相邻单词时,如果发现短单词在长单词之后且短单词是长单词的前缀,则直接返回空字符串 ""。
#include <iostream>
#include <vector>
#include <queue>
#include <unordered_map>
#include <unordered_set>
using namespace std;
string alienOrder(vector<string>& words) {
// 构建图和入度表
unordered_map<char, unordered_set<char>> adj;
unordered_map<char, int> indegree;
// 初始化所有出现的字符
for (string word : words) {
for (char c : word) {
if (!adj.count(c)) {
adj[c] = unordered_set<char>();
indegree[c] = 0;
}
}
}
// 构建图和入度表
for (int i = 0; i < words.size() - 1; i++) {
string word1 = words[i];
string word2 = words[i + 1];
int len = min(word1.size(), word2.size());
bool found = false;
for (int j = 0; j < len; j++) {
if (word1[j] != word2[j]) {
// word1[j] 应该在 word2[j] 之前
if (!adj[word1[j]].count(word2[j])) {
adj[word1[j]].insert(word2[j]);
indegree[word2[j]]++;
}
found = true;
break; // 只比较第一个不同的字符
}
}
// 如果没有找到不同的字符且 word1 更长,则无法确定字典序
if (!found && word1.size() > word2.size()) {
return "";
}
}
// 拓扑排序
queue<char> q;
// 初始化队列,将入度为 0 的字符加入队列
for (auto& pair : indegree) {
if (pair.second == 0) {
q.push(pair.first);
}
}
string result;
while (!q.empty()) {
char c = q.front();
q.pop();
result += c;
// 遍历相邻字符并更新入度
for (char neighbor : adj[c]) {
indegree[neighbor]--;
if (indegree[neighbor] == 0) {
q.push(neighbor);
}
}
}
// 检查结果是否包含所有字符
if (result.size() != adj.size()) {
return ""; // 存在环,无法确定字典序
}
return result;
}
int main() {
vector<string> words1 = {"abc", "ab"};
cout << alienOrder(words1) << endl; // 输出 ""
return 0;
}
310. 最小高度树(Minimum Height Trees)
树是一个无向图,其中任何两个顶点只通过一条路径连接。换句话说,任何一个没有简单环路的连通图都是一棵树。
给你一棵包含 n 个节点的树,标记为 0 到 n - 1 。给定数字 n 和一个有 n - 1 条无向边的 edges 列表(每一个边都是一对标签),其中 edges[i] = [ai, bi] 表示树中节点 ai 和 bi 之间存在一条无向边。
可选择树中任何一个节点作为根。当选择节点 x 作为根节点时,设结果树的高度为 h 。在所有可能的树中,具有最小高度的树(即,min(h))被称为最小高度树。
请你找到所有的最小高度树并按任意顺序返回它们的根节点标签列表。
树的高度是指根节点和叶子节点之间最长向下路径上边的数量。
示例 1

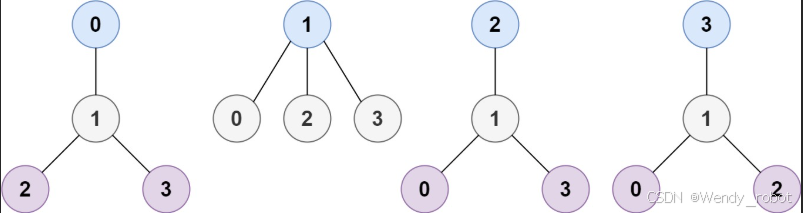
输入:n = 4, edges = [[1,0],[1,2],[1,3]]
输出:[1]
解释:如图所示,当根是标签为 1 的节点时,树的高度是 1 ,这是唯一的最小高度树。
示例 2

输入:n = 6, edges = [[3,0],[3,1],[3,2],[3,4],[5,4]]
输出:[3,4]
提示
1 <= n <= 2 * 10^4
edges.length == n - 1
0 <= ai, bi < n
ai != bi
所有 (ai, bi) 互不相同
给定的输入保证是一棵树,并且不会有重复的边
拓扑排序的去叶法
要解决最小高度树问题,可以使用拓扑排序中的“去叶法”(摘叶子法)。
这种方法通过不断地去除树的叶子节点来找到树的中心,中心节点即为最小高度树的根节点。
树的中心通常位于树的中间位置,对于树的高度来说,以中心节点为根可以保证树的高度最小。通过不断地去除叶子节点(度为 1 的节点),直到剩下最后 1 或 2 个节点,这些节点即为所求的最小高度树的根节点。
- 构建图的邻接表:表示树的结构。
- 初始化叶子节点队列:所有度为
1的节点(叶子节点)加入队列。 - 逐层去除叶子节点:每次从队列中取出一个节点,将其相邻节点的度减
1。如果相邻节点的度变为1,则将其加入队列。 - 记录剩余节点:当剩余节点数不超过
2时,这些节点即为所求。
c++ ACM 模式实现
#include <vector>
#include <queue>
using namespace std;
vector<int> findMinHeightTrees(int n, vector<vector<int>>& edges) {
if (n == 1) return {0}; // 特殊情况处理
vector<vector<int>> adj(n);
vector<int> degree(n, 0);
for (auto& edge : edges) {
int a = edge[0], b = edge[1];
adj[a].push_back(b);
adj[b].push_back(a);
degree[a]++;
degree[b]++;
}
queue<int> q;
for (int i = 0; i < n; i++) {
if (degree[i] == 1) {
q.push(i);
}
}
vector<int> result;
while (!q.empty()) {
result.clear(); // 清空上一轮的节点
int size = q.size();
for (int i = 0; i < size; i++) {
int u = q.front();
q.pop();
result.push_back(u);
for (int v : adj[u]) {
degree[v]--;
if (degree[v] == 1) {
q.push(v);
}
}
}
}
return result;
}
代码说明
- 构建邻接表:用于表示树的结构,每个节点保存其相邻节点列表。
- 初始化叶子节点队列:所有度为
1的节点(叶子节点)加入队列。 - 逐层去除叶子节点:每次处理当前层的所有叶子节点,将其相邻节点的度减
1。如果相邻节点的度变为1,则加入队列。 - 记录剩余节点:当队列处理完一层后,当前层的节点即为当前剩余的节点。最后剩下的
1或2个节点即为所求。
444. 序列重建(Sequence Reconstruction)
给定一个长度为 n 的整数数组 nums,其中 nums 是范围为 [1, n] 的整数的排列。还提供了一个 2D 整数数组 sequences,其中 sequences[i] 是 nums 的子序列。
检查 nums 是否是唯一的最短超序列。最短超序列是长度最短的序列,并且所有序列 sequences[i] 都是它的子序列。对于给定的数组 sequences,可能存在多个有效的超序列。
如果 nums 是序列的唯一最短超序列,则返回 true,否则返回 false。
示例 1
输入:nums = [1,2,3], sequences = [[1,2],[1,3]]
输出:false
解释:有两种可能的超序列:[1,2,3] 和 [1,3,2]。
示例 2
输入:nums = [1,2,3], sequences = [[1,2]]
输出:false
解释:最短可能的超序列为 [1,2]。
示例 3
输入:nums = [1,2,3], sequences = [[1,2],[1,3],[2,3]]
输出:true
解释:最短可能的超序列为 [1,2,3]。
提示
n == nums.length
1 <= n <= 10^4
nums 是 [1, n] 范围内所有整数的排列
1 <= sequences.length <= 10^4
1 <= sequences[i].length <= 10^4
1 <= sum(sequences[i].length) <= 10^5
1 <= sequences[i][j] <= n
sequences 的所有数组都是唯一的
sequences[i] 是 nums 的一个子序列
拓扑排序+唯一性
要实现这个算法,可以使用拓扑排序来构建一个唯一的最短超序列。具体来说,我们需要通过给定的 sequences 构建一个有向图,然后通过拓扑排序来检查是否存在唯一的超序列。
- 构建图和入度表:根据
sequences构建一个有向图,其中边表示元素之间的顺序关系。同时维护一个入度表,记录每个节点的入度。 - 拓扑排序:通过
Kahn算法进行拓扑排序。在每一步中,如果队列中有多个节点,说明存在多个可能的超序列,因此nums不是唯一的最短超序列。 - 验证超序列:拓扑排序的结果需要与
nums进行比较,确保它们一致。
C++ ACM 模式实现
#include <vector>
#include <iostream>
#include <queue>
using namespace std;
bool sequenceReconstruction(vector<int> &nums, vector<vector<int>> &sequences)
{
vector<vector<int>> graph(nums.size() + 1);
vector<int> indegree(nums.size() + 1, 0);
for (auto &seq : sequences)
{
for (int i = 1; i < seq.size(); i++)
{
graph[seq[i - 1]].push_back(seq[i]);
indegree[seq[i]]++;
}
}
queue<int> q;
for (int i = 1; i < nums.size() + 1; i++)
{
if (indegree[i] == 0)
{
q.push(i);
}
}
vector<int> res;
while (!q.empty())
{
if (q.size() > 1)
{
return false;
}
int cur = q.front();
q.pop();
res.push_back(cur);
for (auto &node : graph[cur])
{
indegree[node]--;
if (indegree[node] == 0)
{
q.push(node);
}
}
}
return res == nums;
}
int main()
{
vector<int> nums = {1, 2, 3};
vector<vector<int>> sequences = {{1, 2}, {1, 3}, {2, 3}};
bool result = sequenceReconstruction(nums, sequences);
if (result)
{
cout << "true" << endl;
}
else
{
cout << "false" << endl;
}
return 0;
}
代码说明
- 构建图和入度表:
adj是邻接表,表示图的结构。indegree记录每个节点的入度。 - 初始化图和入度表:遍历
nums初始化图和入度表。 - 构建图和入度表:遍历
sequences中的每个子序列,构建图并更新入度表。 - 拓扑排序:使用
Kahn算法进行拓扑排序。如果在排序过程中队列中有多个节点,说明存在多个可能的超序列,返回false。 - 验证超序列:拓扑排序的结果需要与
nums相同,否则返回false。
推荐一下
https://github.com/0voice



















