高等数学同步测试卷 同济7版 试卷部分 上 做题记录 上册期中同步测试卷 B卷

news2025/12/29 12:28:19

上册期中同步测试卷 B卷

一、单项选择题(本大题共5小题,每小题3分,总计15分)

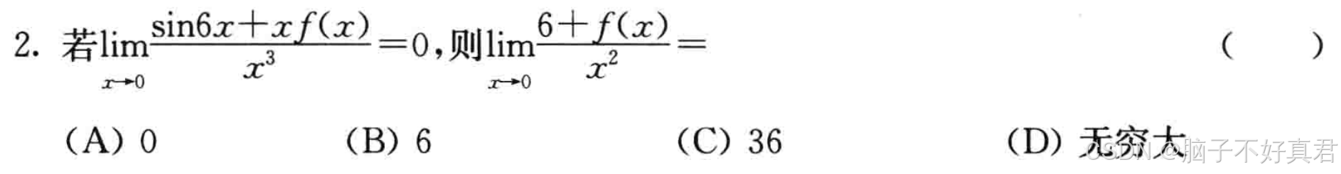
1.

2.

3.

4.

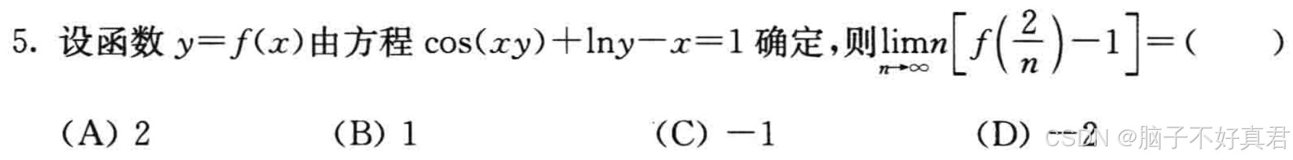
5.


由f(2/n), n→∞可知 2/n→0, 即x→0.

二、填空题(本大题共5小题,每小题3分,总计15分)

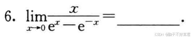
6.

7.

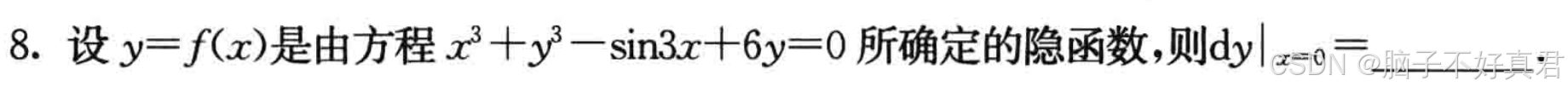
8.

9.

10. 



三、求解下列各题(本大题共5小题,每小题6分,总计30分)

11.



裂项法、分式分解法——复杂分式的拆解-CSDN博客

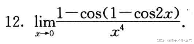
12.

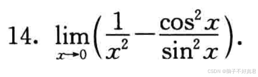
13.

14.

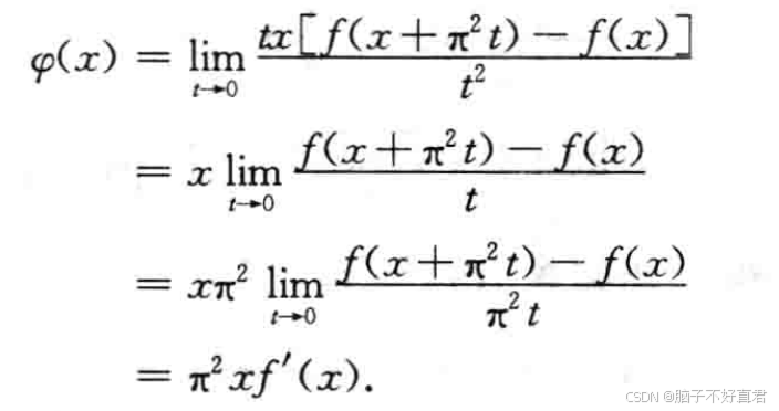
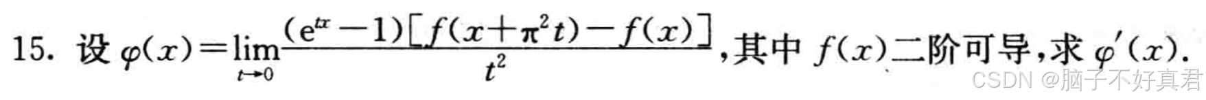
15.


四、求解下列各题(本大题共5小题,每小题8分,总计40分)

16.


17.


18.


19.










20.







本文来自互联网用户投稿,该文观点仅代表作者本人,不代表本站立场。本站仅提供信息存储空间服务,不拥有所有权,不承担相关法律责任。如若转载,请注明出处:http://www.coloradmin.cn/o/2339537.html

如若内容造成侵权/违法违规/事实不符,请联系多彩编程网进行投诉反馈,一经查实,立即删除!

相关文章

【算法】快速排序、归并排序(非递归版)

目录 一、快速排序&#xff08;非递归&#xff09; 1.原理 2.实现 2.1 stack 2.2 partition(array,left,right) 2.3 pivot - 1 > left 二、归并排序&#xff08;非递归&#xff09; 1.原理 2.实现 2.1 gap 2.1.1 i 2*gap 2.1.2 gap * 2 2.1.3 gap < array.…

【实战中提升自己】内网安全部署之dot1x部署 本地与集成AD域的主流方式(附带MAC认证)

1 dot1x部署【用户名密码认证&#xff0c;也可以解决私接无线AP等功能】 说明&#xff1a;如果一个网络需要通过用户名认证才能访问内网&#xff0c;而认证失败只能访问外网与服务器&#xff0c;可以部署dot1x功能。它能实现的效果是&#xff0c;当内部用户输入正常的…

[matlab]南海地形眩晕图代码

[matlab]南海地形眩晕图代码 请ChatGPT帮写个南海地形眩晕图代码 图片 图片 代码 .rtcContent { padding: 30px; } .lineNode {font-size: 12pt; font-family: "Times New Roman", Menlo, Monaco, Consolas, "Courier New", monospace; font-style: n…

Web安全和渗透测试--day6--sql注入--part 1

场景&#xff1a; win11家庭版&#xff0c;edge浏览器 &#xff0c; sqlin靶场 定义&#xff1a; SQL 注入&#xff08;SQL Injection&#xff09;是一种常见的网络安全攻击方式&#xff0c;攻击者通过在 Web 应用程序中输入恶意的 SQL 代码&#xff0c;绕过应用程序的安全机…

[SpringBoot]快速入门搭建springboot

默认有spring基础&#xff0c;不会一行代码一行代码那么细致地讲。 SpringBoot的作用 Spring Boot是为了简化Spring应用的创建、运行、调试、部署等而出现的。就像我们整个SSM框架时&#xff0c;就常常会碰到版本导致包名对不上、Bean非法参数类型的一系列问题&#xff08;原出…

理解.NET Core中的配置Configuration

什么是配置 .NET中的配置&#xff0c;本质上就是key-value键值对&#xff0c;并且key和value都是字符串类型。 在.NET中提供了多种配置提供程序来对不同的配置进行读取、写入、重载等操作&#xff0c;这里我们以为.NET 的源码项目为例&#xff0c;来看下.NET中的配置主要是有…

MYSQL “Too Many Connections“ 错误解决

1.查询当前连接数 show status like "Threads_connected"; 2.查询数据库最大连接数 show variables like "max_connections" 3.查询所有活动连接 show processlist; 4.根据查询结果观察是否有长时间未被释放的连接 参数解释 : 字段说明id连接的唯一…

【外研在线-注册/登录安全分析报告】

前言 由于网站注册入口容易被黑客攻击&#xff0c;存在如下安全问题&#xff1a; 暴力破解密码&#xff0c;造成用户信息泄露短信盗刷的安全问题&#xff0c;影响业务及导致用户投诉带来经济损失&#xff0c;尤其是后付费客户&#xff0c;风险巨大&#xff0c;造成亏损无底洞…

【NLP 63、大模型应用 —— Agent】

人与人最大的差距就是勇气和执行力&#xff0c;也是唯一的差距 —— 25.4.16 一、Agent 相关工作 二、Agent 特点 核心特征&#xff1a; 1.专有场景&#xff08;针对某个垂直领域&#xff09; 2.保留记忆&#xff08;以一个特定顺序做一些特定任务&#xff0c;记忆当前任务的前…

React 打包

路由懒加载 原本的加载方式 #使用lazy()函数声明的路由页面 使用Suspense组件进行加载 使用CDN优化

2025.4.14-2025.4.20学习周报

目录 摘要Abstract1. 文献阅读1.1 模型架构1.2 实验分析1.3 代码实践 总结 摘要 在本周阅读的论文中&#xff0c;作者提出了一种名为MGSFformer的空气质量预测模型。模型通过残差去冗余模块可以有效解耦多粒度数据间的信息重叠&#xff1b;时空注意力模块采用并行建模策略&…

【1】云原生,kubernetes 与 Docker 的关系

Kubernetes&#xff1f;K8s&#xff1f; Kubernetes经常被写作K8s。其中的数字8替代了K和s中的8个字母——这一点倒是方便了发推&#xff0c;也方便了像我这样懒惰的人。 什么是云原生&#xff1f; 云原生&#xff1a; 它是一种构建和运行应用程序的方法&#xff0c;它包含&am…

Kubernetes控制平面组件:APIServer 限流机制详解

云原生学习路线导航页&#xff08;持续更新中&#xff09; kubernetes学习系列快捷链接 Kubernetes架构原则和对象设计&#xff08;一&#xff09;Kubernetes架构原则和对象设计&#xff08;二&#xff09;Kubernetes架构原则和对象设计&#xff08;三&#xff09;Kubernetes控…

springboot全局异常捕获处理

一、需求 实际项目中&#xff0c;经常抛出各种异常&#xff0c;不能直接抛出异常给前端&#xff0c;这样用户体验相当不好&#xff0c;用户看不懂你的Exception,对于一些sql异常&#xff0c;直接抛到页面上也不安全。所以有没有好的办法解决这些问题呢&#xff0c;当然有了&am…

【文献阅读】EndoNet A Deep Architecture for Recognition Tasks on Laparoscopic Videos

关于数据集的整理 Cholec80 胆囊切除手术视频数据集介绍 https://zhuanlan.zhihu.com/p/700024359 数据集信息 Cholec80 数据集 是一个针对内窥镜引导 下的胆囊切除手术视频流程识别数据集。数据集提供了每段视频中总共7种手术动作及总共7种手术工具的标注&#xff0c;标…

基于springboot的个人财务管理系统的设计与实现

博主介绍&#xff1a;java高级开发&#xff0c;从事互联网行业六年&#xff0c;熟悉各种主流语言&#xff0c;精通java、python、php、爬虫、web开发&#xff0c;已经做了六年的毕业设计程序开发&#xff0c;开发过上千套毕业设计程序&#xff0c;没有什么华丽的语言&#xff0…

Linux系统编程---孤儿进程与僵尸进程

1、前言 在上一篇博客文章已经对Linux系统编程内容进行了较为详细的梳理&#xff0c;本文将在上一篇的基础上&#xff0c;继续梳理Linux系统编程中关于孤儿进程和僵尸进程的知识脉络。如有疑问的博客朋友可以通过下面的博文链接进行参考学习。 Linux系统编程---多进程-CSDN博客…

简单使用MCP

简单使用MCP 1 简介 模型上下文协议&#xff08;Model Context Protocol&#xff0c;MCP&#xff09;是由Anthropic&#xff08;产品是Claude&#xff09;推出的开放协议&#xff0c;它规范了应用程序如何向LLM提供上下文。MCP可帮助你在LLM之上构建代理和复杂的工作流。 从…

MySQL:9.表的内连和外连

9.表的内连和外连 表的连接分为内连和外连 9.1 内连接 内连接实际上就是利用where子句对两种表形成的笛卡儿积进行筛选&#xff0c;之前查询都是内连 接&#xff0c;也是在开发过程中使用的最多的连接查询。 语法&#xff1a; select 字段 from 表1 inner join 表2 on 连接…

在阿里云和树莓派上编写一个守护进程程序

目录 一、阿里云邮件守护进程 1. 安装必要库 2. 创建邮件发送脚本 mail_daemon.py 3. 设置后台运行 二、树莓派串口守护进程 1. 启用树莓派串口 2. 安装依赖库 3. 创建串口输出脚本 serial_daemon.py 4. 设置开机自启 5. 使用串口助手接收 一、阿里云邮件守护进程 1.…