
文章题目:Weight-adjusted waist circumference index with hepatic steatosis and fibrosis in adult females: a cross-sectional, nationally representative study (NHANES 2017-2020)
DOI:10.1186/s12876-025-03706-4
中文标题:体重调整腰围指数与成年女性肝脂肪变性和纤维化的关系:一项横断面、全国代表性研究(NHANES 2017-2020)
发表杂志:BMC Gastroenterol
影响因子:1区,IF=3.5
发表时间:2025年3月
今天给大家分享一篇在2025年3月发表在《BMC Gastroenterol》(1区,IF=3.5)的文章。本研究旨在调查WWI、受控衰减参数 (CAP) 和肝脏硬度测量 (LSM) 之间的关联,特别关注性别差异。
研究方法:本项横断面研究纳入了2017 年至 2020 年全国健康与营养检查调查 (NHANES) 的参与者。研究采用多元线性回归模型、平滑曲线和阈值效应分析来描述变量之间的关系。采用多元回归分析来检验四项肥胖指标与 CAP 和 LSM 之间的关联。采用受试者工作特征 (ROC) 曲线评估 WWI 和其他传统肥胖指标对肝脂肪变性和肝纤维化的预测价值,并通过曲线下面积 (AUC) 评估预测能力。
Table&Figure





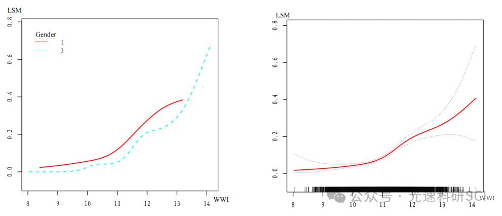
结果解读:研究共涉及6713名参与者,其中男性3072人(46%),女性3641人(54%)。结果显示,在女性参与者中,较高的WWI与肝脏脂肪变性(OR = 1.71,95% CI:1.43,2.04;P < 0.0001)和肝纤维化(OR = 2.11,95% CI:1.58,2.84;P < 0.0001)相关。WWI与CAP的平滑曲线拟合显示,男性和女性参与者的WWI之间存在统计学上显著的正相关性。男性和女性参与者的WWI与CAP均呈统计学上显著的正相关。WWI与LSM之间也存在显著的非线性关系,男性和女性之间没有显著差异。与其他肥胖指标相比,WWI 也是脂肪肝的良好预测指标,在男性参与者中更为明显(AUC = 0.8224)。而在 WWI 与 LSM 的比较中,wBMI 是女性参与者的更好预测指标(AUC = 0.7751)。
结论:根据本研究,WWI 与女性肝脂肪变性和肝纤维化风险显著相关,表明 WWI 具有作为筛查工具的潜力。由于是横断面设计,无法推断因果关系。需要纵向研究来验证我们的发现。
大家在科研路上,可以借鉴这种研究方法,为自己的课题添砖加瓦。万层高楼平底起,一起加油呀!








![Warcraft Logs [Classic] [WCL] BOSS ID query](https://i-blog.csdnimg.cn/direct/e0c3e10e590b44c8b94b0d5cac4131ce.png)










