1.源码分析
代码生成器:导入表结构(预览、编辑、删除、同步)、生成前后端代码

代码生成器表结构说明:
若依提供了两张核心表来存储导入的业务表信息:
gen_table:存储业务表的基本信息 ,它对应于配置代码基本信息和生成信息的页面
gen_table_column:存储业务表的字段信息 它对应于配置代码字段信息的页面。
这两张表是一对多的关系,一张业务表可以有多个字段的信息,所以在字段信息表中有个外键table_id指向

代码生成器目录结构:

查询数据库列表

当管理员在界面上点击导入按钮时,会弹出一个对话框,此时,前端需要向后端发送请求,查询数据库并返回到前端,展示当前项目库中所有待导入的业务表。
前端:
此功能涉及前端相关的代码位于views/tool/index.vue这个视图组件中,负责实现导入业务表的用户界面和交互逻辑。
/** 打开导入表弹窗 */
function openImportTable() {
proxy.$refs["importRef"].show();
}
后端:
后端处理逻辑则在代码生成模块的GenController中,负责接收前端的请求,处理业务逻辑,并返回查询结果。
/**
* 查询数据库列表
*/
@PreAuthorize("@ss.hasPermi('tool:gen:list')")
@GetMapping("/db/list")
public TableDataInfo dataList(GenTable genTable)
{
startPage();
List<GenTable> list = genTableService.selectDbTableList(genTable);
return getDataTable(list);
}
具体的执行流程如下图:

导入表结构:

前端:此功能涉及前端相关的代码位于views/tool/importTable.vue这个视图组件中,负责实现导入业务表的用户界面和交互逻辑。
/** 导入按钮操作 */
function handleImportTable() {
const tableNames = tables.value.join(",");
if (tableNames == "") {
proxy.$modal.msgError("请选择要导入的表");
return;
}
importTable({ tables: tableNames }).then(res => {
proxy.$modal.msgSuccess(res.msg);
if (res.code === 200) {
visible.value = false;
emit("ok");
}
});
}
后端:后端处理逻辑则在代码生成模块的GenController中,负责接收前端的请求,处理业务逻辑,保存业务表的基本信息和字段信息
/**
* 导入表结构(保存)
*/
@PreAuthorize("@ss.hasPermi('tool:gen:import')")
@Log(title = "代码生成", businessType = BusinessType.IMPORT)
@PostMapping("/importTable")
public AjaxResult importTableSave(String tables)
{
// 将表名字符串转换为数组 tb_task_collect,tb_vendout_running
String[] tableNames = Convert.toStrArray(tables);
// 查询表信息
List<GenTable> tableList = genTableService.selectDbTableListByNames(tableNames);
// 导入表结构(保存)
genTableService.importGenTable(tableList, SecurityUtils.getUsername());
return success();
}
具体的执行的流程如下图:

生成代码
首先管理员,选中需要下载的业务表,并点击生成按钮来触发代码生成并下载的过程。
前端随后向后端发送请求,这个请求会告知服务器需要生成代码的业务表。

前端:
负责实现这一功能的前端代码位于views/tool/index.vue这个视图组件中,负责实现生成业务表的用户界面和交互逻辑。
/** 生成代码操作 */
function handleGenTable(row) {
const tbNames = row.tableName || tableNames.value;
if (tbNames == "") {
proxy.$modal.msgError("请选择要生成的数据");
return;
}
if (row.genType === "1") {
genCode(row.tableName).then(response => {
proxy.$modal.msgSuccess("成功生成到自定义路径:" + row.genPath);
});
} else {
proxy.$download.zip("/tool/gen/batchGenCode?tables=" + tbNames, "ruoyi.zip");
}
}
后端:后端的逻辑处理则在代码生成模块的GenController中,这里是处理前端请求、执行代码生成逻辑,将生成的代码字节流通过HTTP响应返回给客户端。
/**
* 批量生成代码
*/
@PreAuthorize("@ss.hasPermi('tool:gen:code')")
@Log(title = "代码生成", businessType = BusinessType.GENCODE)
@GetMapping("/batchGenCode")
public void batchGenCode(HttpServletResponse response, String tables) throws IOException
{
// 将表名字符串转换为数组 tb_task_collect,tb_vendout_running
String[] tableNames = Convert.toStrArray(tables);
// 根据表名下载生成的代码字节数组
byte[] data = genTableService.downloadCode(tableNames);
// 将生成的代码字节流通过HTTP响应返回给客户端
genCode(response, data);
}
具体的执行的流程如下图:

问题分析
我们已经对代码生成器的工作原理有了一定的了解,接下来我们解决一些项目中使用的问题,比如:
每次生成代码都需要修改作者,去除实体类前缀过于繁琐,现在我们可以修改generator.yml配置文件来调整为自己项目的

# 代码生成
gen:
# 作者
author: itheima
# 默认生成包路径 system 需改成自己的模块名称 如 system monitor tool
packageName: com.dkd.manage
# 自动去除表前缀,默认是false
autoRemovePre: true
# 表前缀(生成类名不会包含表前缀,多个用逗号分隔)
tablePrefix: sys_,tb_
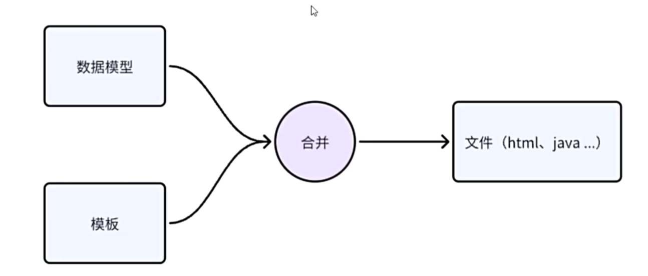
velocity模板引擎
- Velocity官网:https://velocity.apache.org
- Velocitv是一个|ava模板引擎,它使用特定语法在模板中嵌入lava对象数据,实现界面与代码的分离

常见的应用场景:
-
Web内容生成 : 生成动态Web页面。
-
代码生成 : 生成Java源代码、SQL脚本、XML配置文件等。
-
网页静态化 : 生成静态网页。
入门
<!DOCTYPE html>
<html lang="en">
<head>
<meta charset="UTF-8">
<meta name="viewport" content="width=device-width, initial-scale=1.0">
<title>velocity快速入门</title>
</head>
<body>
<h3>心怀梦想,坚持不懈,成功即在前方。加油少年!!</h3>
</body>
</html>

准备模板
<!DOCTYPE html>
<html lang="en">
<head>
<meta charset="UTF-8">
<meta name="viewport" content="width=device-width, initial-scale=1.0">
<title>velocity快速入门</title>
</head>
<body>
<h3>心怀梦想,坚持不懈,成功即在前方。${message}</h3>
</body>
</html>
上述代码中的 加油少年 修改为了 ${message} 这是一个动态变量(占位符),方便动态填充数据
数据填充
编写java代码实现数据填充,并生成文件
package com.dkd.test;
import com.dkd.generator.util.VelocityInitializer;
import org.apache.velocity.Template;
import org.apache.velocity.VelocityContext;
import org.apache.velocity.app.Velocity;
import java.io.FileWriter;
import java.util.List;
public class VelocityDemoTest {
public static void main(String[] args) throws Exception {
//1. 初始化模板引擎
VelocityInitializer.initVelocity();
//2. 准备数据模型
VelocityContext velocityContext = new VelocityContext();
velocityContext.put("message", "加油朋友!!");
//3. 读取模板
Template template = Velocity.getTemplate("vm/index.html.vm", "UTF-8");
//4. 渲染模板
FileWriter fileWriter = new FileWriter("D:\\workspace\\index.html");
template.merge(velocityContext, fileWriter);
fileWriter.close();
}
}
基础语法-变量
Velocity中的变量有两类
-
在模板中定义变量:
#set开头,比如#set($name = "velocity") -
获取变量的的值:
$name或者${name}
下面是案例,基于刚才的入门案例模板改进
##双#号 是vm的注释
<!DOCTYPE html>
<html lang="en">
<head>
<meta charset="UTF-8">
<meta name="viewport" content="width=device-width, initial-scale=1.0">
<title>velocity快速入门</title>
</head>
<body>
<h3>心怀梦想,坚持不懈,成功即在前方。${message}</h3>
##定义变量
#set ($name = "velocity")
##输出变量
第一种情况:${name} <br>
第二种情况:$name
## 第三种情况:orderService
#set($column = "order")
字符串拼接:${column}Service <br>
</body>
</html>
对象的定义获取
在ruoyi-generator模块下新增一个区域的实体类
package com.dkd.test;
import com.dkd.common.annotation.Excel;
import com.dkd.common.core.domain.BaseEntity;
import lombok.AllArgsConstructor;
import lombok.Data;
import lombok.NoArgsConstructor;
/**
* 区域管理对象 tb_region
*
* @author itheima
* @date 2024-06-05
*/
@Data
@NoArgsConstructor
@AllArgsConstructor
public class Region extends BaseEntity {
private static final long serialVersionUID = 1L;
/**
* 主键ID
*/
private Long id;
/**
* 区域名称
*/
@Excel(name = "区域名称")
private String regionName;
}
准备模型数据
package com.dkd.test;
import com.dkd.generator.util.VelocityInitializer;
import org.apache.velocity.Template;
import org.apache.velocity.VelocityContext;
import org.apache.velocity.app.Velocity;
import java.io.FileWriter;
import java.util.List;
public class VelocityDemoTest {
public static void main(String[] args) throws Exception {
//1. 初始化模板引擎
VelocityInitializer.initVelocity();
//2. 准备数据模型
VelocityContext velocityContext = new VelocityContext();
velocityContext.put("message", "加油朋友!!");
// 创建区域对象
Region region = new Region(1L, "北京北五环");
velocityContext.put("region", region);
//3. 读取模板
Template template = Velocity.getTemplate("vm/index.html.vm", "UTF-8");
//4. 渲染模板
FileWriter fileWriter = new FileWriter("D:\\workspace\\index.html");
template.merge(velocityContext, fileWriter);
fileWriter.close();
}
}
动态模板展示数据
<!DOCTYPE html>
<html lang="en">
<head>
<meta charset="UTF-8">
<meta name="viewport" content="width=device-width, initial-scale=1.0">
<title>velocity快速入门</title>
</head>
<body>
<h3>心怀梦想,坚持不懈,成功即在前方。${message}</h3>
## 定义变量
#set($name = "velocity")
## 输出变量
第一种情况:${name} <br>
第二种情况:$name <br>
## 第三种情况:orderService
#set($column = "order")
字符串拼接:${column}Service <br>
<hr>
## 获取区域对象中的数据
区域ID:$region.id <br>
区域名称:${region.regionName} <br>
<hr>
</body>
</html>
基础语法-循环
循环的语法:#foreach(...) ... #end
##定义一个集合
#set($list = ["春", "夏", "秋", "冬"])
## 遍历循环
#foreach($item in $list)
序号[$foreach.count] $item <br> ## count从1开始 index从0开始
#end
准备模型数据
// 创建区域对象
Region region1 = new Region(1L, "北京北五环");
Region region2 = new Region(2L, "北京北四环");
velocityContext.put("region", region1);
List<Region> regionList = List.of(region1, region2);
velocityContext.put("regionList", regionList);
动态模板展示数据
## 遍历区域
#foreach($item in $regionList)
序号[$foreach.count],区域ID:$item.id,区域名称:$item.regionName <br>
#end
</br>
基础语法-if判断
判断的语法:#if(condition) ... #elseif(condition) ... #else ... #end
##定义变量
#set($score=80)
## if判断
#if($score>=80)
优秀
#elseif($score>=60)
及格
#else
不及格
#end
## 对象obj不为空才会执行里面的逻辑
#if($obj) ..... #end
## 对象obj为空才会执行里面的逻辑
#if(!$obj) ..... #end
模板阅读
我们不需要使用velocity去开发新的模板,若依已经提供好了,在它基础上进行调整即可
下面这个是关于实体类的模板
package ${packageName}.domain;
## 根据列类型获取导入包
#foreach ($import in $importList)
import ${import};
#end
## 导入Apache Commons Lang库,用于对象的toString方法
import org.apache.commons.lang3.builder.ToStringBuilder;
import org.apache.commons.lang3.builder.ToStringStyle;
## 导入项目自定义的Excel注解,用于生成Excel文档
import com.dkd.common.annotation.Excel;
#if($table.crud || $table.sub)
## 如果表具有CRUD操作或子表,继承BaseEntity
import com.dkd.common.core.domain.BaseEntity;
#elseif($table.tree)
## 如果表是树形结构,继承TreeEntity
import com.dkd.common.core.domain.TreeEntity;
#end
/**
* ${functionName}对象 ${tableName}
*
* @author ${author}
* @date ${datetime}
*/
#if($table.crud || $table.sub)
#set($Entity="BaseEntity")
#elseif($table.tree)
#set($Entity="TreeEntity")
#end
public class ${ClassName} extends ${Entity}
{ ## 定义类的序列化版本ID
private static final long serialVersionUID = 1L;
## 根据表的列定义实体类的属性
#foreach ($column in $columns)
## 如果不是父类的属性,则生成属性
#if(!$table.isSuperColumn($column.javaField))
/** $column.columnComment */
## 如果字段需要在列表中展示,使用Excel注解标记
#if($column.list)
#set($parentheseIndex=$column.columnComment.indexOf("("))
#if($parentheseIndex != -1)
#set($comment=$column.columnComment.substring(0, $parentheseIndex))
#else
#set($comment=$column.columnComment)
#end
#if($parentheseIndex != -1)
@Excel(name = "${comment}", readConverterExp = "$column.readConverterExp()")
#elseif($column.javaType == 'Date')
@JsonFormat(pattern = "yyyy-MM-dd")
@Excel(name = "${comment}", width = 30, dateFormat = "yyyy-MM-dd")
#else
@Excel(name = "${comment}")
#end
#end
private $column.javaType $column.javaField;
#end
#end
## 如果表有子表,定义子表信息的集合
#if($table.sub)
/** $table.subTable.functionName信息 */
private List<${subClassName}> ${subclassName}List;
#end
## 为每个属性字段生成getter和setter方法
#foreach ($column in $columns)
#if(!$table.isSuperColumn($column.javaField))
#if($column.javaField.length() > 2 && $column.javaField.substring(1,2).matches("[A-Z]"))
#set($AttrName=$column.javaField)
#else
#set($AttrName=$column.javaField.substring(0,1).toUpperCase() + ${column.javaField.substring(1)})
#end
public void set${AttrName}($column.javaType $column.javaField)
{
this.$column.javaField = $column.javaField;
}
public $column.javaType get${AttrName}()
{
return $column.javaField;
}
#end
#end
## 如果表有子表,生成子表信息的getter和setter方法
#if($table.sub)
public List<${subClassName}> get${subClassName}List()
{
return ${subclassName}List;
}
public void set${subClassName}List(List<${subClassName}> ${subclassName}List)
{
this.${subclassName}List = ${subclassName}List;
}
#end
## 重写toString方法,使用Apache Commons Lang的ToStringBuilder
@Override
public String toString() {
return new ToStringBuilder(this,ToStringStyle.MULTI_LINE_STYLE)
#foreach ($column in $columns)
#if($column.javaField.length() > 2 && $column.javaField.substring(1,2).matches("[A-Z]"))
#set($AttrName=$column.javaField)
#else
#set($AttrName=$column.javaField.substring(0,1).toUpperCase() + ${column.javaField.substring(1)})
#end
.append("${column.javaField}", get${AttrName}())
#end
#if($table.sub)
.append("${subclassName}List", get${subClassName}List())
#end
.toString();
}
}
Lombok集成
目前,我们已经基本熟悉了velocity的作用和一些语法,那接下来,我们就通过这些知识来去改造若依框架的代码生成部分
在common模块的pom.xml中添加lombok坐标
<!-- lombok工具-->
<dependency>
<groupId>org.projectlombok</groupId>
<artifactId>lombok</artifactId>
</dependency>
修改模板
在enerator模块的domain.java.vm模板中添加lombok注解
package ${packageName}.domain;
## 根据列类型获取导入包
#foreach ($import in $importList)
import ${import};
#end
## 导入项目自定义的Excel注解,用于生成Excel文档
import com.dkd.common.annotation.Excel;
#if($table.crud || $table.sub)
## 如果表具有CRUD操作或子表,继承BaseEntity
import com.dkd.common.core.domain.BaseEntity;
#elseif($table.tree)
## 如果表是树形结构,继承TreeEntity
import com.dkd.common.core.domain.TreeEntity;
#end
## 注意lombok导包
import lombok.AllArgsConstructor;
import lombok.Builder;
import lombok.Data;
import lombok.NoArgsConstructor;
/**
* ${functionName}对象 ${tableName}
*
* @author ${author}
* @date ${datetime}
*/
#if($table.crud || $table.sub)
#set($Entity="BaseEntity")
#elseif($table.tree)
#set($Entity="TreeEntity")
#end
@Data
@NoArgsConstructor
@AllArgsConstructor
@Builder
public class ${ClassName} extends ${Entity}
{ ## 定义类的序列化版本ID
private static final long serialVersionUID=1L;
## 根据表的列定义实体类的属性
#foreach ($column in $columns)
## 如果不是父类的属性,则生成属性
#if(!$table.isSuperColumn($column.javaField))
/** $column.columnComment */
## 如果字段需要在列表中展示,使用Excel注解标记
#if($column.list)
#set($parentheseIndex=$column.columnComment.indexOf("("))
#if($parentheseIndex != -1)
#set($comment=$column.columnComment.substring(0, $parentheseIndex))
#else
#set($comment=$column.columnComment)
#end
#if($parentheseIndex != -1)
@Excel(name = "${comment}", readConverterExp = "$column.readConverterExp()")
#elseif($column.javaType == 'Date')
@JsonFormat(pattern = "yyyy-MM-dd")
@Excel(name = "${comment}", width = 30, dateFormat = "yyyy-MM-dd")
#else
@Excel(name = "${comment}")
#end
#end
private $column.javaType $column.javaField;
#end
#end
## 如果表有子表,定义子表信息的集合
#if($table.sub)
/** $table.subTable.functionName信息 */
private List<${subClassName}> ${subclassName}List;
#end
}
正常添加了关于lombok的注解
删除了set 、 get 、toString 等方法
可以把生成后的代码,拷贝到项目中,如果订单管理能够正常访问和操作,就算修改成功了,后期再次生成的代码,全部都支持lombok
Swagger集成
在generator模块的 controller.java.vm模板中添加Swagger注解
package ${packageName}.controller;
import java.util.List;
import javax.servlet.http.HttpServletResponse;
import org.springframework.security.access.prepost.PreAuthorize;
import org.springframework.beans.factory.annotation.Autowired;
import org.springframework.web.bind.annotation.GetMapping;
import org.springframework.web.bind.annotation.PostMapping;
import org.springframework.web.bind.annotation.PutMapping;
import org.springframework.web.bind.annotation.DeleteMapping;
import org.springframework.web.bind.annotation.PathVariable;
import org.springframework.web.bind.annotation.RequestBody;
import org.springframework.web.bind.annotation.RequestMapping;
import org.springframework.web.bind.annotation.RestController;
import com.dkd.common.annotation.Log;
import com.dkd.common.core.controller.BaseController;
import com.dkd.common.core.domain.AjaxResult;
import com.dkd.common.enums.BusinessType;
import ${packageName}.domain.${ClassName};
import ${packageName}.service.I${ClassName}Service;
import com.dkd.common.utils.poi.ExcelUtil;
#if($table.crud || $table.sub)
import com.dkd.common.core.page.TableDataInfo;
#elseif($table.tree)
#end
import io.swagger.annotations.Api;
import io.swagger.annotations.ApiOperation;
/**
* ${functionName}Controller
*
* @author ${author}
* @date ${datetime}
*/
@Api(tags = "${functionName}Controller")
@RestController
@RequestMapping("/${moduleName}/${businessName}")
public class ${ClassName}Controller extends BaseController
{
@Autowired
private I${ClassName}Service ${className}Service;
/**
* 查询${functionName}列表
*/
@ApiOperation("查询${functionName}列表")
@PreAuthorize("@ss.hasPermi('${permissionPrefix}:list')")
@GetMapping("/list")
#if($table.crud || $table.sub)
public TableDataInfo list(${ClassName} ${className})
{
startPage();
List<${ClassName}> list = ${className}Service.select${ClassName}List(${className});
return getDataTable(list);
}
#elseif($table.tree)
public AjaxResult list(${ClassName} ${className})
{
List<${ClassName}> list = ${className}Service.select${ClassName}List(${className});
return success(list);
}
#end
/**
* 导出${functionName}列表
*/
@ApiOperation("导出${functionName}列表")
@PreAuthorize("@ss.hasPermi('${permissionPrefix}:export')")
@Log(title = "${functionName}", businessType = BusinessType.EXPORT)
@PostMapping("/export")
public void export(HttpServletResponse response, ${ClassName} ${className})
{
List<${ClassName}> list = ${className}Service.select${ClassName}List(${className});
ExcelUtil<${ClassName}> util = new ExcelUtil<${ClassName}>(${ClassName}.class);
util.exportExcel(response, list, "${functionName}数据");
}
/**
* 获取${functionName}详细信息
*/
@ApiOperation("获取${functionName}详细信息")
@PreAuthorize("@ss.hasPermi('${permissionPrefix}:query')")
@GetMapping(value = "/{${pkColumn.javaField}}")
public AjaxResult getInfo(@PathVariable("${pkColumn.javaField}") ${pkColumn.javaType} ${pkColumn.javaField})
{
return success(${className}Service.select${ClassName}By${pkColumn.capJavaField}(${pkColumn.javaField}));
}
/**
* 新增${functionName}
*/
@ApiOperation("新增${functionName}")
@PreAuthorize("@ss.hasPermi('${permissionPrefix}:add')")
@Log(title = "${functionName}", businessType = BusinessType.INSERT)
@PostMapping
public AjaxResult add(@RequestBody ${ClassName} ${className})
{
return toAjax(${className}Service.insert${ClassName}(${className}));
}
/**
* 修改${functionName}
*/
@ApiOperation("修改${functionName}")
@PreAuthorize("@ss.hasPermi('${permissionPrefix}:edit')")
@Log(title = "${functionName}", businessType = BusinessType.UPDATE)
@PutMapping
public AjaxResult edit(@RequestBody ${ClassName} ${className})
{
return toAjax(${className}Service.update${ClassName}(${className}));
}
/**
* 删除${functionName}
*/
@ApiOperation("删除${functionName}")
@PreAuthorize("@ss.hasPermi('${permissionPrefix}:remove')")
@Log(title = "${functionName}", businessType = BusinessType.DELETE)
@DeleteMapping("/{${pkColumn.javaField}s}")
public AjaxResult remove(@PathVariable ${pkColumn.javaType}[] ${pkColumn.javaField}s)
{
return toAjax(${className}Service.delete${ClassName}By${pkColumn.capJavaField}s(${pkColumn.javaField}s));
}
}











![[NOIP 2003 普及组] 栈 Java](https://i-blog.csdnimg.cn/direct/07c35fd8e1314b9593b56802d8d6f3ed.png)






