1以半桥LLC谐振变换器为例,主开关Q1、Q2构成半桥结构,其驱动信号为固定占空比50%的互补信号,并且在上下桥臂之间应有死区时间。
谐振电感Ls、谐振电感Cs和变压器励磁电感Lm共同构成谐振槽路,具有两个谐振频率:
谐振电感Ls和谐振电感Cs产生的串联谐振频率

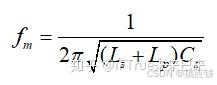
谐振电感Ls、谐振电感Cs和变压器励磁电感Lm产生的串并联谐振频率

重点知道:并且fs > fm。

两种描述llc的工作模态第一种
1.「工作频率f=fs时LLC工作模态」(BCM)
工作过程
阶段1/6:t0 ~ t1
Q1关断,Q2开通
D1关断,D2开通
励磁电感Lp电压被变压器钳位在-n倍输出电压上:VDCMLp = -n × Vout
Cs与Ls以频率fs谐振
输出能量来自Cs与Ls
该阶段持续到Q2关断为止


阶段2/6:t1 ~ t2
Q1、Q2均关断(死区)
D1、D2均关断
变压器副边开路,因而Lp也参与谐振
谐振电流I(Ls+Lp)给Cosss2充电,同时给Coss1放电,直至V(Coss1)=Vin,Q1体二极管开始续流
该阶段持续到Q1开通为止


阶段3/6:t2 ~ t3
Q1开通,Q2关断
D1导通,D2关断
励磁电感Lp电压被变压器钳位在n倍输出电压上:VLp = n × Vout
Cs与Ls以频率fs谐振
电流流经Q1返回到输入源Vin(Q1工作在第3象限)
该阶段持续到谐振电流I(Ls)=0为止


阶段4/6:t3 ~ t4
Q1开通,Q2关断
D1导通,D2关断
励磁电感Lp电压被变压器钳位在n倍输出电压上:VLp = n × Vout
Cs与Ls以频率fs谐振
能量由输入Vin流向输出Vout
该阶段持续到Q1关断


阶段5/6:t4 ~ t5
Q1、Q2均关断(死区)
D1、D2均关断
变压器副边开路,因而Lp也参与谐振
谐振电流I(Ls+Lp)给Cosss1充电,同时给Coss2放电,直至V(Coss2)=0,Q2体二极管开始续流
该阶段持续到Q2开通为止


阶段6/6:t5 ~ t6
Q1关断,Q2开通
D1关断,D2开通
励磁电感Lp电压被变压器钳位在-n倍输出电压上:VLp = -n × Vout
Cs与Ls以频率fs谐振
电流流经Q2(Q2工作在第3象限)
输出能量来自Cs与Ls
该阶段持续到谐振电流I(Ls)=0为止
此后继续阶段1/6


2.工作频率f>fs时LLC工作模态(CCM)
(在这里波形图有颜色的是画错了,波形图全部按照黑白颜色波形图为准,这个错误仅限于f>fs的这个章节中)
fs>fr的工作特性分析(连续模式,CCM):
在该频率时M变换器的主要工作波形如下图所示:

该工作频率下,to~t5时刻总共总共有5个工作模态:

模态1[t0~t1]:t0之前的阶段死区时间里变换器完成了Q1寄生电容Coss1的放电和Q2寄生电容Coss2的充电,谐振电流ir通过Q1的提二极管Doss1续流,在t0时刻Q1收到了高电平PWM驱动信号,由于Q1寄生电容的电被放掉了,Q1的导通压降比其体二极管的正向压降小,所以谐振电流ir不再流经Doss1,开始通过导通的Q1开始续流,所以这个过程中Q1实现了零电压导通(ZVS)。
在这个阶段里,励磁电流im和谐振电流均是负值,且im>ir,这时im和ir的电流差ip流入变压器的原边绕组里然后能量会传递给变压器副边电感,整流二极管D1导通,变压器副边输出电压既是LLC变换器的负载电压Uo,而此时励磁电感被钳位为nUo(其中n是变压器匝比),Lm是在充电状态所以im也正在线性变化。这个模态里Lm未参与谐振,Lr和Cr二元谐振,谐振频率为串联谐振fr。负载能量是由Lm提供。

模态2[t1~t2]:在上个模态中ir为负向且是减小趋势,在t1时刻ir减少到0然后发生换向,ir开始正向流过Q1,变换器原边的电流值是im+ir,在这个模态内副边的D1继续导通状态,Lm两端的电压被nVo继续钳位着,这个阶段内和上个工作模态一样也是Lr和Cr组成的二元谐振,变换器谐振频率为fr,负载能力为输入源提供。

模态3[t2~t3]:在t0到t2阶段内,Lm在t2时刻由负向线性减小过零点,然后t2时刻后开始换向为正向线性上升状态,在t2到t3的时间里变压器原边电流值为ir-im,其他的器件保持不变状态,电流谐振频率仍为fr。

模态4[t3~t4]:在t3时刻Q1的驱动信号置为低电平,Q1关断开始进入死区时间。ir开始给Q1的寄生电容Coss1充电,同时给Coss2放电;在t4时刻,谐振电流ir下降到与谐振电流im相等,上下管寄生电容的充放电过程完成,也即是对于即将导通的Q2做好了零电压导通的准备。该阶段内Lm和D1与上一时间段内相同,变换器谐振频率为fr,ir为负载提供能力。

模态5[t4~t5]:由于在上个模态时间内Q2的两端电压被体二极管钳位,所以在在t4时刻ir开始流过Doss2进行续流。在这个模态里,ir下降的值小于im,变压器原边的电流ip开始换向,ip=im-ir,这时变压器副边电流开始流向下绕组的回路中,D2在t5时刻导通,变换器输出电压变为-Uo,Lm两端钳位电压为-nUo,Lm开始反省充电。该模态时间里,变换器谐振频率依然是fr。在此阶段里负载的能量由ir和Lm共同提供。
阶段1/6:t0 ~ t1Q1关断,Q2开通D1关断,D2开通励磁电感Lp电压被变压器钳位在-n倍输出电压上:VLp = -n × VoutCs与Ls以频率fs谐振输出能量来自Cs与Ls该阶段持续到Q2关断为止



阶段2/6:t1 ~ t2Q1、Q2均关断(死区)D1、D2均关断变压器副边开路,因而Lp也参与谐振谐振电流I(Ls+Lp)给Cosss2充电,同时给Coss1放电,直至V(Coss1)=Vin,Q1体二极管开始续流该阶段持续到Q1开通为止



阶段3/6:t2 ~ t3Q1开通,Q2关断D1导通,D2关断励磁电感Lp电压被变压器钳位在n倍输出电压上:VLp = n × VoutCs与Ls以频率fs谐振电流流经Q1返回到输入源Vin(Q1工作在第3象限)该阶段持续到谐振电流I(Ls)=0为止



阶段4/6:t3 ~ t4Q1开通,Q2关断D1导通,D2关断励磁电感Lp电压被变压器钳位在n倍输出电压上:VLp = n × VoutCs与Ls以频率fs谐振能量由输入Vin流向输出Vout该阶段持续到Q1关断



阶段5/6:t4 ~ t5Q1、Q2均关断(死区)D1、D2均关断变压器副边开路,因而Lp也参与谐振谐振电流I(Ls+Lp)给Cosss1充电,同时给Coss2放电,直至V(Coss2)=0,Q2体二极管开始续流该阶段持续到Q2开通为止



阶段6/6:t5 ~ t6Q1关断,Q2开通D1关断,D2开通励磁电感Lp电压被变压器钳位在-n倍输出电压上:VLp = -n × VoutCs与Ls以频率fs谐振电流流经Q2(Q2工作在第3象限)输出能量来自Cs与Ls该阶段持续到谐振电流I(Ls)=0为止此后继续阶段1/6



3.「fm<f<fs时LLC工作模态」(DCM)
阶段1/8:t0 ~ t1Q1关断,Q2开通D1关断,D2开通励磁电感Lp电压被变压器钳位在-n倍输出电压上:VLp = -n × VoutCs与Ls以频率fs谐振输出能量来自Cs与Ls该阶段持续到D2电流为零


阶段2/8:t1 ~ t2Q1关断,Q2开通D1关断,D2关断,变压器二次侧开路Cs与(Ls + Lp)以频率fm谐振输出能量来自Co该阶段持续到Q2开通为止


阶段3/8:t2 ~ t3Q1、Q2均关断(死区)D1、D2均关断变压器副边开路,因而Lp也参与谐振谐振电流I(Ls+Lp)给Cosss2充电,同时给Coss1放电,直至V(Coss1)=Vin,Q1体二极管开始续流该阶段持续到Q1开通为止


阶段4/8:t3 ~ t4Q1开通,Q2关断D1导通,D2关断励磁电感Lp电压被变压器钳位在n倍输出电压上:VLp = n × VoutCs与Ls以频率fs谐振电流流经Q1返回到输入源Vin(Q1工作在第3象限)能量回馈至输入Vin该阶段持续到谐振电流I(Ls)=0为止


阶段5/8:t4 ~ t5Q1开通,Q2关断D1导通,D2关断励磁电感Lp电压被变压器钳位在n倍输出电压上:VLp = n × VoutCs与Ls以频率fs谐振能量由输入Vin流向输出Vout该阶段持续到D1电流为零


阶段6/8:t5~ t6Q1开通,Q2关断D1关断,D2关断,变压器二次侧开路Cs与(Ls + Lp)以频率fm谐振输出能量来自Co该阶段持续到Q1开通为止


阶段7/8:t6 ~ t7Q1、Q2均关断(死区)D1、D2均关断变压器副边开路,因而Lp也参与谐振谐振电流I(Ls+Lp)给Cosss1充电,同时给Coss2放电,直至V(Coss2)=0,Q2体二极管开始续流该阶段持续到Q2开通为止


阶段8/8:t7 ~ t8Q1关断,Q2开通D1关断,D2开通励磁电感Lp电压被变压器钳位在-n倍输出电压上:VLp = -n × VoutCs与Ls以频率fs谐振电流流经Q2(Q2工作在第3象限)输出能量来自Cs与Ls该阶段持续到谐振电流I(Ls)=0为止此后继续阶段1/8


两种描述llc工作模态第二种描述
1.「工作频率f=fs时LLC工作模态」(BCM)
(这个暂时没找到暂时看第一个)
2.工作频率f>fs时LLC工作模态(CCM)
今天突然心血来潮查看PI有没有LLC相关的设计,有倒是有,不过不过,然后就温故而知新,看了一下之前学习过的资料,用简单但是又直白的描述交流一下LLC的工作模态。所有内容均是纯手打的,内容较多,分两个贴,这个贴写fs>fr的连续工作模式。
半桥LLC谐振变换器结构如图所示:

组成半桥LLC谐振变换器的主要器件有:两个开关管Q1和Q2,谐振电感Lr、励磁电感 Lm 、谐振电容Cr,副边采用中心抽头式结构的变压器,组成整流部分的二极管D1和D2滤波电容Co。除此之外,图中还给出了Q1 、Q2的寄生电容Coss1、Coss2与体二极管Doss1、Doss2 。
LLC谐振变换器采取的是的调频控制方式,即开关管Q1和Q2的导通占空比都约为50%,交替工作,但为防止它们同时导通,在两个开关管的驱动信号之间加入一定的死区时间。
LLC谐振变换器有三个谐振元件:Cr、Lr、Lm,故有两个谐振频率,其中一个是由谐振电感Lr与谐振电容Cr所产生的串联谐振频率:

另一个由谐振电感Lr 加励磁电感Lm 串联后与共同与谐振电容Cr产生的并
联谐振频率:

fs是变换器的开关频率,在变换器输入电压和负载不同管控下,两个谐振频率fr和fm可以把LLC变换器的工作频率划分为三种情况:fm<fs<fr,fs=fr,fs>fr,在这三个工作频率内变换器给工作特性和波形均有区别。
fs>fr的工作特性分析(连续模式,CCM):
在该频率时变换器的主要工作波形如下图所示:

该工作频率下,to~t5时刻总共总共有5个工作模态:

模态1[t0~t1]:t0之前的阶段死区时间里变换器完成了Q1寄生电容Coss1的放电和Q2寄生电容Coss2的充电,谐振电流ir通过Q1的提二极管Doss1续流,在t0时刻Q1收到了高电平PWM驱动信号,由于Q1寄生电容的电被放掉了,Q1的导通压降比其体二极管的正向压降小,所以谐振电流ir不再流经Doss1,开始通过导通的Q1开始续流,所以这个过程中Q1实现了零电压导通(ZVS)。
在这个阶段里,励磁电流im和谐振电流均是负值,且im>ir,这时im和ir的电流差ip流入变压器的原边绕组里然后能量会传递给变压器副边电感,整流二极管D1导通,变压器副边输出电压既是LLC变换器的负载电压Uo,而此时励磁电感被钳位为nUo(其中n是变压器匝比),Lm是在充电状态所以im也正在线性变化。这个模态里Lm未参与谐振,Lr和Cr二元谐振,谐振频率为串联谐振fr。负载能量是由Lm提供。

模态2[t1~t2]:在上个模态中ir为负向且是减小趋势,在t1时刻ir减少到0然后发生换向,ir开始正向流过Q1,变换器原边的电流值是im+ir,在这个模态内副边的D1继续导通状态,Lm两端的电压被nVo继续钳位着,这个阶段内和上个工作模态一样也是Lr和Cr组成的二元谐振,变换器谐振频率为fr,负载能力为输入源提供。

模态3[t2~t3]:在t0到t2阶段内,Lm在t2时刻由负向线性减小过零点,然后t2时刻后开始换向为正向线性上升状态,在t2到t3的时间里变压器原边电流值为ir-im,其他的器件保持不变状态,电流谐振频率仍为fr。

模态4[t3~t4]:在t3时刻Q1的驱动信号置为低电平,Q1关断开始进入死区时间。ir开始给Q1的寄生电容Coss1充电,同时给Coss2放电;在t4时刻,谐振电流ir下降到与谐振电流im相等,上下管寄生电容的充放电过程完成,也即是对于即将导通的Q2做好了零电压导通的准备。该阶段内Lm和D1与上一时间段内相同,变换器谐振频率为fr,ir为负载提供能力。

模态5[t4~t5]:由于在上个模态时间内Q2的两端电压被体二极管钳位,所以在在t4时刻ir开始流过Doss2进行续流。在这个模态里,ir下降的值小于im,变压器原边的电流ip开始换向,ip=im-ir,这时变压器副边电流开始流向下绕组的回路中,D2在t5时刻导通,变换器输出电压变为-Uo,Lm两端钳位电压为-nUo,Lm开始反省充电。该模态时间里,变换器谐振频率依然是fr。在此阶段里负载的能量由ir和Lm共同提供。
3.「fm<f<fs时LLC工作模态」(DCM)
继续上一贴。纯手敲打的字,有错误的地方请指正。
fm<fs<fr的工作特性分析(断续模式,DCM):
fm<fs<fr是LLC谐振变换器最理想的工作状态,也是实际应用中设计的模态,变换器的原边开关管能实现ZVS,副边开关管实现ZCS,也就是软开关模式,能提高变换器的效率,主要工作波形如下图:

该工作模式下有6个模态:

模态1[t0~t1]:在t0时刻,Q1导通。变换器位于感性工作区,电流相位滞后电压相位,ir为负向逐渐减小趋势流过Q1续流,在该阶段内ir<im,变压器原边电流值为im-ir,变压器副边有能量输出,D1导通,变换器输出电压为Uo,变压器原边电压被钳位为nUo,Lm两端也被钳位,此模态为Lr和Cr二元谐振,变换器谐振频率为fr,负载能量由Lm提供。值得注意的是,在本模态之前的Q1导通ZVS之前的情形:ir通过Doss1续流,那么Q1在导通时谐振电流流过Q1实现的零电压导通。

模态2[t1~t2]:在t1时刻ir由负减小到过零点,续流完成,然后ir换向为正向流过Q1,变压器原边电流ip=im+ir,D1依然保持开通状态,Lm两端电压被钳位为nUo,此模态下为Lr和Cr二元谐振,变换器谐振频率为fr,负载能量由输入源提供。

模态3[t2~t3]:该阶段ir正向继续上升,在t2时刻im过零点然后开始换向为正向,变压器原边ip=ir-im;Lm继续被充电,im继续线性增加;在t3时刻im=ir,在这时没有电流流入变压器原边,也即是进入了断续模式,ip=im-ir=0,副边输出电流也变为0,流过副边整流二极管的电流也较小值零,所以实现了副边整流二极管的ZCS。

模态4[t3~t4]:这个阶段比较特殊,也是fm<fs<fr工作模态下的典型特征,在该阶段ir持续与im相等,变压器原边没有电流流入,不参与能量的传输,相当于变换器与输出端隔离了,副边二极管D1和D2全部截至。Lm脱离被钳位的状态,开始参与到了谐振状态,由Cr、Lr和Lm进行三元谐振,谐振频率为fm,负载能量由输出端的滤波电容Co提供。

模态5[t4~t5]:在t4时刻Q1关断,开始进入死区时间,im给Coss1充电,给Coss2放电,在t5时刻完成开关器件的充放电过程。与上个阶段一样,im=ir,没有谐振电流在变换器内传输,由Cr、Lr和Lm进行三元谐振,谐振频率为fm,负载能量由输出端的滤波电容Co提供。

模态6[t5~t6]:在t5时刻后ir经过Doss2续流,副边整流二极管D2导通,Lm被前位于-nUo,Lm不再参与谐振,此模态下变为Lr和Cr二元谐振,变换器谐振频率增大为fr,负载能量由Lm提供。
fs=fr的工作特性分析(临界模式,BCM):
在fs=fr的工作模态与上述的fm<fs<fr工作模态基本类似,不过少了一个阶段4[t3~t4]。LLC谐振变换器断续和临界工作模式就是在这里进行区分的,在临界工作模式副边的二极管由断续导通变为了临界导通模态。临界模式下的谐振变换器主要工作波形如下图:

总结:LLC变换器的三种工作模式fs>fr、fm<fs<fr和fs=fr的各个模态分析原边均能够通过开关管的体二极管进行反向续流,从而达到开关管的ZVS目的;不过fm<fs<fr工作模式下,在实现原边开关管的ZVS的同时,副边整流二极管可以实现ZCS,实现软开关;而fs>fr的连续工作模式下,不能实现副边整流二极管的ZCS,所以不推荐LLC工作在该模态下。



![STM32单片机入门学习——第30节: [9-6] FlyMcu串口下载STLINK Utility](https://i-blog.csdnimg.cn/direct/97e2313311e544b9b29b6be7d62da95e.png)















