1 不可重入函数
为什么会导致节点丢失内存泄露?main函数在执行insert,但是没执行完就被信号中断了,又进了这个函数里,所以这个insert函数在不同的执行流中,同一个函数被重复进入,如果没有问题,该函数被称为可重入函数,如果有问题,该函数被称为不可重入函数
如果一个函数符合以下条件之一则是不可重入的:
- 调用了malloc或free,因为malloc也是用全局链表来管理堆的。
- 调用了标准I/0库函数。标准I/0库的很多实现都以不可重入的方式使用全局数据结构。
2 volatile
一开始程序疯狂的卡在while循环,如果收到了2号信号(ctrl+c),quit由0变1,逻辑反条件就不满足,输出正常退出结果
makefile
mysignal:signal.c
gcc -o $@ $^
.PHONY:clean
clean:
rm -f mysignal
signal.c
#include <stdio.h>
#include <signal.h>
int quit = 0;
void handler(int signo)
{
printf("change quit from 0 to 1\n");
quit = 1;
printf("quit=%d\n", quit);
}
int main()
{
signal(2, handler);
while(!quit); //注意这里故意没有携带while的代码块,故意让编译器认为在main中,quit只会被检测
printf("main 正常退出\n");
return 0;
}


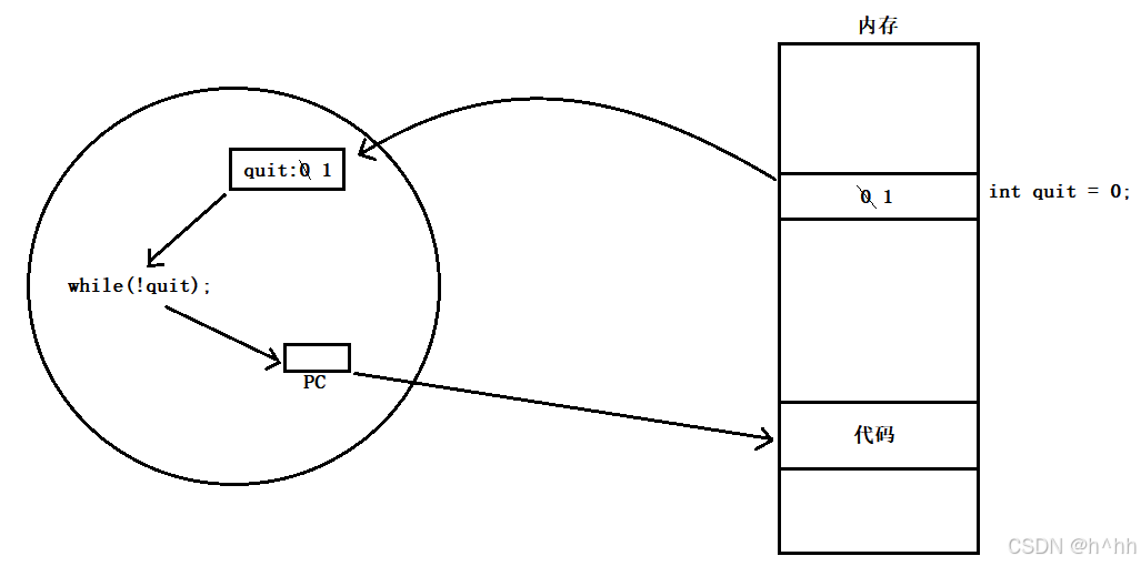
- 无论你在进程里面定义多少变量,最终想能够被访问,必须要加载到物理内存里,只不过是通过虚拟地址空间让我们找到它而已,定义的全局quit变量,当二进制程序开始执行,一定要在内存里把数据(代码)开辟好,所以quit毫无疑问在内存当中;循环判断的时候是一种计算,cpu匹配运算的种类,一种是算术运算(加减乘除取模、各种浮点数运算),一种是逻辑运算(真假判断、逻辑与、逻辑取反),while(!quit)是在CPU上跑,现在的问题是你要检测的数据开始的时候是在内存里,要计算的时候是在CPU内部,所以如果你想要计算,第一件事情是将内存中的数据通过某种方式load到CPU内,cpu中有对应的寄存器、pc指针,把quit=0放进寄存器,它才会对quit做真假判断,PC指针表征当前的进程执行到哪里,如果条件满足,pc指针继续执行while(!quit)代码,如果当前条件不满足,它会让PC指针向下移动,指向下一条语句,开始向后执行,整个逻辑就是这样子的,总结一下就三步,第一要把数据从内存加载到CPU里的寄存器,第二做判断运算,第三判断完成后更改PC指针(继续执行当前语句还是下一条语句)
- 后面加了信号的捕捉,2号信号到来的时候调用handler方法,将quit改成1,后面的逻辑依旧是要做判断,CPU从内存里读取qiit=1,逻辑反之后判断条件满不满足,更改PC指针,这是我们之前退出的原因,数据一旦被修改就可以被while循环检测到,条件不满足就退出了
实际上c++在编译的时候是有优化级别的,查看man手册(man gcc),找到优化选项(/Optimization Options)
![]()
按了2号信号,quit改成1了却还不退出的现象,退出指令(ctrl+\)
makefile(在第二行加一个 O2选项)
mysignal:signal.c
gcc -o $@ $^ -O2
.PHONY:clean
clean:
rm -f mysignal
显示


- 在刚刚的过程中,让计算机执行while循环,每一次都要尝试着把数据从内存加载到CPU,在main函数里,我发现quit是没有被修改的,只是在被检测,编译器编译的时候发现,quit变量没有被修改,为什么要重复做把数据加载到cpu里的动作呢,只需要在代码编译形成汇编代码时,把数据加载到CPU里的寄存器,往后循环检测时直接检测寄存器里的就行了,不用再去内存里面查quit,因为每次找结果都是一样的,好比你问某个人问了好几次不同的问题,他都说不知道,那你下次再想问他问题的时候,本来要张口的,心里想着说算了,反正他也不知道,那你对这个人的判断就是以后问他什么问题他都不知道,同样的,编译器就不需要在内存里找了,直接检测寄存器里的数据就可以了,编译器就这么认为的,它会将quit变量直接优化到CPU里的寄存器当中,只有第一次会将quit加载到寄存器里,往后判断时候只检测寄存器是否为真还是假,再决策对应的指针,相当于CPU遵循就近原则,只查寄存器的值而不查内存的值,叫做内存位置不可见了,这就是为什么加了优化,quit=1也执行了,最终这个循环却不退出的原因
所以为了解决这个问题,要告诉编译器保证每次检测都要尝试着从内存中进行数据读取,不要用寄存器中的数据,让内存数据可见!就有了volatile关键字,他的作用就是杜绝对quit变量做寄存器级别的优化,保证内存可见性
加volatile关键字,让main正常退出
volatile int quit = 0;
显示

3 SIGCHLD
子进程退出的时候会向父进程发SIGCHLD信号,但是父进程默认处理动作是忽略的,所以我们为了证明它会发,我们可以自定义捕捉SIGCHLD信号(现象是子进程被创建出来,先正常运行5秒,期间父进程持续做自己的事情,当信号到来的时候会等待5秒钟,但是在等期间这个子进程已经退了,且会处于僵尸状态,因为父进程还没回收它,5秒之后wait它的时候,最终我们就会看到打印等待成功,僵尸状态也会随着消失)
makefile
mysignal:signal.c
gcc -o $@ $^ #-O2
.PHONY:clean
clean:
rm -f mysignal
查看waitpid第一个参数说明(man waipid)
pid_t waitpid(pid_t pid, int *wstatus, int options);

- 大于0代表你传的参数就是你要等的进程的id,-1代表等待任意一个子进程
signal.c
#include <stdio.h>
#include <signal.h>
#include <signal.h>
#include <sys/types.h>
#include <unistd.h>
#include <sys/wait.h>
#include <stdlib.h>
//id暂时定义成全局的,一会方便做对比,因为信号和main函数是两个执行流
pid_t id;
void handler(int signo)
{
sleep(5);
printf("捕捉到一个信号:%d,who:%d\n", signo, getpid());
//-1表示等待任意一个子进程,退出结果不关心,阻塞式等待
//虽然写了0,阻塞式等待,我们绝对不会被阻塞,因为我已经收到信号了
//就证明当前的子进程肯定有退的,waitpid就可以返回了
pid_t res = waitpid(-1, NULL, 0);
if (res > 0)
{
//等待成功返回子进程的pid
//id 在父进程中存储的是子进程的 PID
printf("wait success, res: %d, id: %d\n", res, id);
}
}
int main()
{
signal(SIGCHLD, handler);
id = fork();
if (id == 0)
{
int cnt = 5;
while(cnt--)
{
printf("我是子进程,我的pid:%d, ppid: %d\n", getpid(), getppid());
sleep(1);
}
exit(1);
}
while(1)
{
sleep(1);
}
return 0;
}
显示(while :; do ps axj | head -1&&ps axj | grep mysignal | grep -v grep; echo "---------------"; sleep 1; done)

现在来了一大堆的信号,pending位图比特位只有一个,比如第一个子进程退了,pending位设置1,第二个子进程来了,无非就是把1再置为1,此时信号不就相当于丢失了吗,相当于子进程退出发了10个信号,可能导致最终只回收了两三个子进程
signal.c
int main()
{
signal(SIGCHLD, handler);
int i = 1;
for(; i <= 10; ++i)
{
id = fork();
if (id == 0)
{
int cnt = 5;
while(cnt--)
{
printf("我是子进程,我的pid:%d, ppid: %d\n", getpid(), getppid());
sleep(1);
}
exit(1);
}
}
while(1)
{
sleep(1);
}
return 0;
}
显示

- 只回收了两个子进程
所以要while式的循环回收,你有几个进程我就回收几个进程
signal.c
void handler(int signo)
{
printf("捕捉到一个信号:%d,who:%d\n", signo, getpid());
sleep(5);
while(1)
{
//-1表示等待任意一个子进程,退出结果不关心,阻塞式等待
//虽然写了0,阻塞式等待,我们绝对不会被阻塞,因为我已经收到信号了
//就证明当前的子进程肯定有退的,waitpid就可以返回了
pid_t res = waitpid(-1, NULL, 0);
if (res > 0)
{
//等待成功返回子进程的pid, id 在父进程中存储的是子进程的 PID
printf("wait success, res: %d, id: %d\n", res, id);
}
else break; //如果没有子进程了
}
printf("handler done...\n");
}
显示

假如有五个子进程退出五个子进程没退出,waitpid一直循环回收,它总会碰到没有退出的子进程,就会一直处于阻塞状态,导致handler无法返回,代码没办法再向后运行,所以要将它改成非阻塞等待,pid_t res = waitpid(-1, NULL, WNOHANG);完整代码
#include <stdio.h>
#include <signal.h>
#include <signal.h>
#include <sys/types.h>
#include <unistd.h>
#include <sys/wait.h>
#include <stdlib.h>
//id暂时定义成全局的,一会方便做对比,因为信号和main函数是两个执行流
pid_t id;
void waitProcess(int signo)
{
printf("捕捉到一个信号:%d,who:%d\n", signo, getpid());
sleep(5);
while(1)
{
//-1表示等待任意一个子进程,退出结果不关心,阻塞式等待
//虽然写了0,阻塞式等待,我们绝对不会被阻塞,因为我已经收到信号了
//就证明当前的子进程肯定有退的,waitpid就可以返回了
//pid_t res = waitpid(-1, NULL, 0);
//非阻塞等待,有就回收,没有就出错返回
pid_t res = waitpid(-1, NULL, WNOHANG);
if (res > 0)
{
//等待成功返回子进程的pid, id 在父进程中存储的是子进程的 PID
printf("wait success, res: %d, id: %d\n", res, id);
}
else break; //如果没有子进程了
}
printf("handler done...\n");
}
int main()
{
signal(SIGCHLD, waitProcess);
int i = 1;
for(; i <= 10; ++i)
{
id = fork();
if (id == 0)
{
int cnt = 5;
while(cnt--)
{
printf("我是子进程,我的pid:%d, ppid: %d\n", getpid(), getppid());
sleep(1);
}
exit(1);
}
}
while(1)
{
sleep(1);
}
return 0;
}
- 一个基于信号版的回收子进程的代码
显示

要想不产生僵尸进程,还有另一种办法,父进程调用sigaction将SIGCHLD的处理动作置为SIG_IGN,往后创建的子进程在退出时就会被操作系统自动清理,不会产生僵尸进程,也不会通知父进程
signal.c(signal(SIGCHLD, waitProcess);)改成
signal(SIGCHLD, SIG_IGN);
显示

子进程退了,会给父进程发信号,父进程默认对该信号的处理动作是忽略,为什么还要再调一下这个signal函数呢
这其实是一种特殊情况,可以理解成在signal方法里,父进程调用signal的时候,如果他检测到你是SIGCHLD, SIG_IGN这种组合,除了设置SIGCHLD信号为忽略之外,他还会修改父进程PCB的状态位,因为子进程的状态是按父进程来的,父进程相当于可以给自己打一个标签,假设我创建的子进程以后就不要僵尸,这个标志位就会在fork的时候被子进程继承下去,所当子进程退出的时候,操作系统发现子进程退了,检测标志时发现这个进程早就设置过了标志位,你退了就直接把你释放掉了,相当于在信号handler表当中,默认是SIG_IGN,他就执行默认动作,如果你自己手动调了signal或sigaction,它是系统调用,会修改未来创建子进程的一些状态位,方便操作系统识别进而直接回收它;也可以这样理解,以前对子进程退出信号的默认动作是SIG_DFL,什么都不做,现在设置成SIG_IGN,操作系统就把它回收掉了
4 线程(看看现象)
makefile
mysignal:signal.c
gcc -o $@ $^ -lpthread
.PHONY:clean
clean:
rm -f mysignal
signal.c
#include <stdio.h>
#include <unistd.h>
#include <pthread.h>
void *thread1_run(void *args)
{
while(1)
{
printf("我是线程1,我正在运行\n");
sleep(1);
}
}
void *thread2_run(void *args)
{
while(1)
{
printf("我是线程2,我正在运行\n");
sleep(1);
}
}
void *thread3_run(void *args)
{
while(1)
{
printf("我是线程3,我正在运行\n");
sleep(1);
}
}
int main()
{
pthread_t t1, t2, t3;
pthread_create(&t1, NULL, thread1_run, NULL);
pthread_create(&t2, NULL, thread2_run, NULL);
pthread_create(&t3, NULL, thread3_run, NULL);
while(1)
{
printf("我是主线程,我正在运行\n");
sleep(1);
}
}
查看线程(ps -aL | head -1&&ps -aL | grep mysignal)

- 可以看出他们是属于同一个进程的,因为他们的PID都是一样的,LWP叫做轻量级进程,第一行执行流他的PID和LWP数字是一样的,那操作系统调度的时候如何区分呢,所以真正意义上,操作系统调度的时候,看的是LWP,所以CPU调度的时候,根据LWP,调度不同的线程去运行,以前我们说根据PID也没有错,因为当你的进程当中只有一个执行流时,PID和LWP数字是一样的,看哪个都行



















