机动飞行时描述飞机在给定构型和发动机工作状态下改变飞行速度、飞行高度和飞行方向的能力
1. 水平加(减)速
水平加(减)速性能反映飞机在水平面内改变直线飞行速度的能力。描述水平加(减)速性能的参数包括:规定速度范围内加(减)速所需时间(主要技术指标)、切向过载、所经过的水平距离和燃油消耗量。
 当已知加(减)速的起始速度和终止速度时,可以写出加(减)速所需时间和经过的水平距离的积分表达式:
 
 切向过载nx正比于飞机的加速度,其值为剩余推力(T-D)与重力G的比值,是表征飞机加速性的重要参数。
2. 盘旋
飞机在水平面内作盘旋时,利用副翼偏转产生机翼倾斜,从而获得盘旋所需的向心力,并同时利用方向舵来保持零侧滑角,因此也称为协调转弯。
 描述盘旋机动的主要参数包括:盘旋速度、盘旋角度、盘旋半径、盘旋过载、倾斜角和盘旋时间等。
2.1. 盘旋性能计算表达式:

 
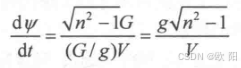
 假设飞机的升力为重力的n倍,n为法向过载。为满足水平飞行条件,升力的垂直分量应等于重力升力的垂直分量为作盘旋机动的向心力,则盘旋角速度表达式为:
 
 盘旋半径和盘旋一周所用时间表达式为:
 
 在给定速度下,定常盘旋最大过载时对应的盘旋角速度最大,盘旋半径和盘旋时间最小。
2.2. 盘旋飞行的过载和速度
过载和倾斜角的关系为:
 
 在水平盘旋中,倾斜角不是任意选定的,必须满足以上条件。在非定常盘旋中,为使用较大的倾斜角从而得到较大的n,可以增加迎角,但在低速时可能受到最大可用升力系数的限制。在高速时,结构强度限制或者生理限制的法向过载可能限制了倾斜角的选择。
 根据定常盘旋时推力和阻力的相等条件,以及n=L/G的定义可以得出过载的另一个表达式:
 
 根据上式,定常盘旋的过载正比于推重比和升阻比。
 忽略推力在垂直方向的分量,可得到盘旋速度表达式:
 
 当飞机由直线平飞转为水平协调转弯时,如果维持速度不变,升力系数应该增加n倍,在大盘旋过载时可能受到最大可用升力系数限制;如果维持升力系数不变,速度将增加,所需推力应增加n倍。
3. 跃升
跃升是指飞机以动能换取位能,迅速降低速度而增加高度的能力。跃升性能以理论动能升限和动力高度等参数描述。
 飞机的能量可以用单位能量来描述(式9):
 
 飞机能量的另一个表达形式是单位剩余功率(式10):
 
 由上式可以在V-H图上画出一条在最大可用推力和n=1条件下计算出的Ps=0的曲线,如下图,曲线右侧部分每一点反应了相应高度上飞机所能达到的最大稳态平飞速度(即具有最大动能)。可以找到一条等于常值的迹线与Ps=0相切,切点(A)处飞机具有最大能量,这条切线的值即为理论动力升限。
 
 以上所述从定义出发说明理论动力升限的确定方法。实际上,将各个高度及所对应的最大平飞速度数据带入式9,所得最大值为理论动力升限。
4. 俯冲
俯冲是飞机以位能换取动能,迅速降低高度而增加速度的能力。俯冲机动用于追击敌机、攻击地面目标或执行俯冲轰炸等。
 俯冲按航迹分为三段:进入俯冲段、直线俯冲段和改出俯冲段。
 俯冲进入方式有两种:推杆进入或者施加滚转压杆进入。
 在发动机油门不变的直线段俯冲时,随着高度降低和速度增加,发动机推力因密度增加而有所增加,而因速压增加引起的阻力增加要迅速的多。因此可能存在某一速度,使得推力和重力分量相等,飞机速度不再增加,为俯冲极限速度(式11):
 
 在直线俯冲段的升力系数为(式12):
 
 为保持直线俯冲,随着俯冲速压增加,须使升力系数(迎角)不断地相对应减小,即直线俯冲时一不断推杆的过程。
 改出俯冲段通过拉杆获得法向过载。假设在改出俯冲的过程中发动机推力和飞机阻力基本相等,如果改出俯冲开始时的速度与航迹角分别为V1和θ1,结束时的速度与航迹角分别为V和θ,其中θ=0,并认为改出俯冲过程中nZ为常数,则改出俯冲结束时的速度为(式13):
 
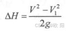
 因已假定发动机推力与飞机阻力相等,故改出俯冲时的高度损失按能量方程得(式14):
 
 改出俯冲高度损失计算公式(式15):
 



















![P1036 [NOIP 2002 普及组] 选数(DFS)](https://i-blog.csdnimg.cn/direct/0951bbc1ff2e4a0088123680bba4ff40.png)