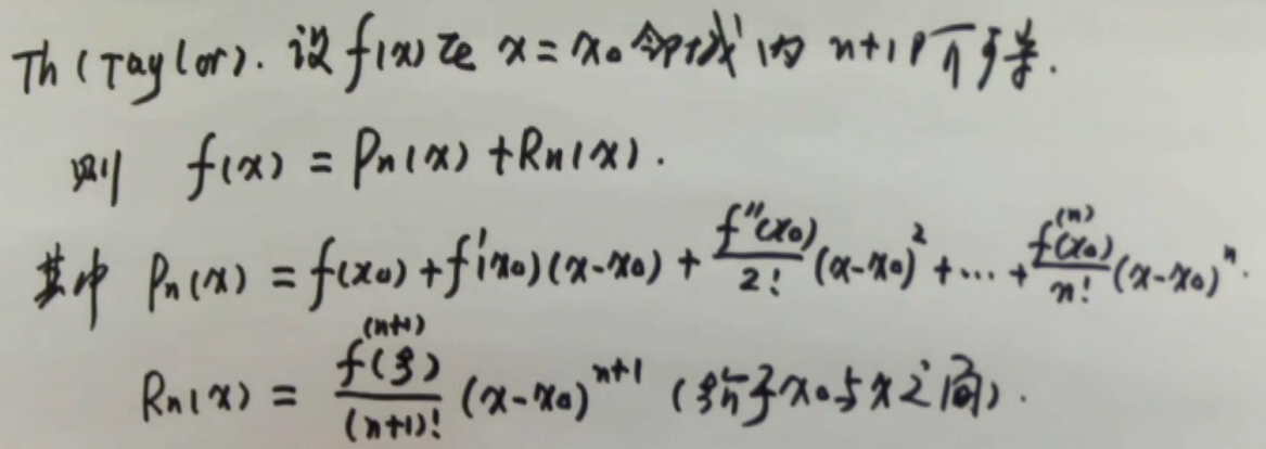
3.3 Taylor公式

news2025/12/20 18:22:13

1.定义

1.1 taylor公式

1.2 麦克劳林公式

1.3 推论

1.4 拉格朗日余项和皮亚诺型余项

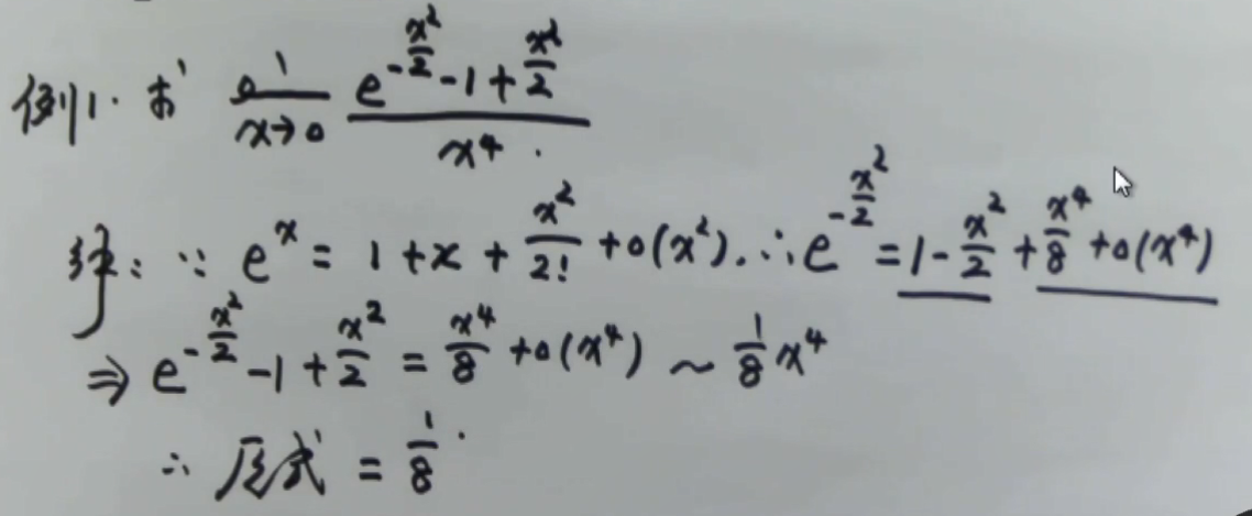
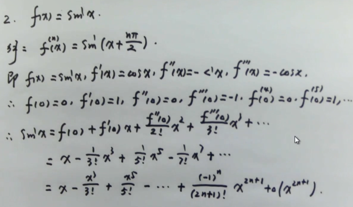
2. 例题

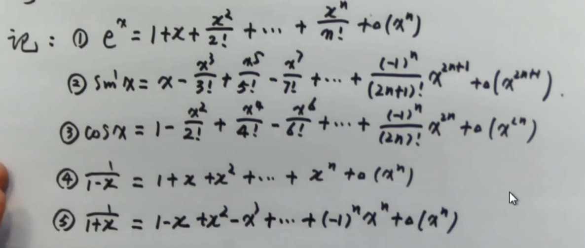
3.几种特殊函数的麦克劳林展开

本文来自互联网用户投稿,该文观点仅代表作者本人,不代表本站立场。本站仅提供信息存储空间服务,不拥有所有权,不承担相关法律责任。如若转载,请注明出处:http://www.coloradmin.cn/o/2322645.html

如若内容造成侵权/违法违规/事实不符,请联系多彩编程网进行投诉反馈,一经查实,立即删除!

相关文章

2000-2019年各省地方财政行政事业性收费收入数据

2000-2019年各省地方财政行政事业性收费收入数据 1、时间:2000-2019年 2、来源:国家统计局、统计年鉴 3、指标:行政区划代码、地区、年份、地方财政行政事业性收费收入 4、范围:31省 5、指标说明:地方财政行政事业…

Ftrans飞驰云联受邀参加“2025汽车零部件CIO年会“并荣获智象奖

2025年3月6日,由栖观汽车、栖观资讯和飞羽商务主办的“2025第二届中国汽车&零部件CIO年会暨智象奖颁奖盛典”于上海盛大召开,Ftrans飞驰云联作为国内领先的企业文件传输与数据交换解决方案提供商,受邀出席了年会,并凭借卓越的…

oracle查询归档日志使用量

1.统计最近30天的数据 SELECT TRUNC(first_time, DD) "日期", SUM(blocks * block_size) / 1024 / 1024 / 1024 "大小(GB)" FROM v$archived_log WHERE first_time > SYSDATE - 30 -- 统计最近30天的数据 GROUP BY TRUNC(first_time, DD) ORDER BY 1 D…

2025-03-26 学习记录--C/C++-PTA 6-3 求链式表的表长

合抱之木,生于毫末;九层之台,起于累土;千里之行,始于足下。💪🏻 一、题目描述 ⭐️ 6-3 求链式表的表长 本题要求实现一个函数,求链式表的表长。 函数接口定义: &…

PHP框架 ThinkPHP 漏洞探测分析

目录 1. PHP历史利用最多的漏洞有哪些? 2. 如何在信息收集的过程中收到框架信息?有什么根据? 3. ThinkPHP框架漏洞扫描有哪些工具?红队攻击有哪些方式? 漏洞扫描工具 红队攻击方式 4. TPscan工具的主要作用及实际…

SylixOS 中 select 原理及使用分析

1、select接口简介 1.1 select接口使用用例 select 是操作系统多路 I/O 复用技术实现的方式之一。 select 函数允许程序监视多个文件描述符,等待所监视的一个或者多个文件描述符变为“准备好”的状态。所谓的”准备好“状态是指:文件描述符不再是阻塞状…

软考笔记——软件工程基础知识

第五章节——软件工程基础知识 软件工程基础知识 第五章节——软件工程基础知识一、软件工程概述1. 计算机软件2. 软件工程基本原理3. 软件生命周期4. 软件过程 二、软件过程模型1. 瀑布模型2. 增量模型3. 演化模型(原型模型、螺旋模型)4. 喷泉模型5. 基于构建的开发…

FastGPT原理分析-数据集创建第二步:处理任务的执行

概述 文章《FastGPT原理分析-数据集创建第一步》已经分析了数据集创建的第一步:文件上传和预处理的实现逻辑。本文介绍文件上传后,数据处理任务的具体实现逻辑。 数据集创建总体实现步骤 从上文可知数据集创建总体上来说分为两大步骤: &a…

STM32学习笔记之存储器映射(原理篇)

📢:如果你也对机器人、人工智能感兴趣,看来我们志同道合✨ 📢:不妨浏览一下我的博客主页【https://blog.csdn.net/weixin_51244852】 📢:文章若有幸对你有帮助,可点赞 👍…

如何通过数据可视化提升管理效率

通过数据可视化提升管理效率的核心方法包括清晰展示关键指标、及时发现和解决问题、支持决策优化。其中,清晰展示关键指标尤为重要。通过数据可视化工具直观地呈现关键绩效指标(KPI),管理者能快速、准确地理解业务现状&#xff0c…

数据结构:利用递推式计算next表

next 表是 KMP 算法的核心内容,下面介绍一种计算 next 表的方法:利用递推式计算 如图 6.3.1 所示,在某一趟匹配中,当对比到最后一个字符的时候,发现匹配失败(s[i] ≠ t[j])。根据 BF 算法&…

每日算法-250326

83. 删除排序链表中的重复元素 题目描述 思路 使用快慢指针遍历排序链表。slow 指针指向当前不重复序列的最后一个节点,fast 指针用于向前遍历探索。当 fast 找到一个与 slow 指向的节点值不同的新节点时,就将 slow 的 next 指向 fast,然后 …

trino查询mysql报Unknown or incorrect time zone: ‘Asia/Shanghai‘

问题 trino查询mysql时报Error listing schemas for catalog mysql: java.sql.SQLNonTransientConnectionException: Could not create connection to database server. Attempted reconnect 3 times. Giving up.,trino的日志中看到Unknown or incorrect time zone…

java学习笔记7——面向对象

关键字:static 类变量 静态变量的内存解析: 相关代码: public class ChineseTest {public static void main(String[] args) {System.out.println(Chinese.nation); //null 没赋值前System.out.println(Chinese.nation); //中国 静态变量赋值…

C++三大特性之继承

1.继承的概念及定义 回忆封装 C Stack类设计和C设计Stack对比。封装更好:访问限定符类的数据和方法放在一起 -> 避免底层接口的暴露,数据更加的安全,程序的耦合性更高迭代器的设计,封装了容器底层结构,在不暴露底层…

解决Vmware 运行虚拟机Ubuntu22.04卡顿、终端打字延迟问题

亲测可用 打开虚拟机设置,关闭加速3D图形 (应该是显卡驱动的问题,不知道那个版本的驱动不会出现这个问题,所以干脆把加速关了)

ctfshow做题笔记—栈溢出—pwn73、pwn74

目录 一、pwn73(愉快的尝试一下一把梭吧!) 二、pwn74(噢?好像到现在为止还没有了解到one_gadget?) 前言: 抽空闲时间继续学习,记录了两道题,pwn74卡了几天哈哈。 一、pwn73(愉快的尝试一下一把梭吧!) …

026-zstd

zstd 以下为Zstandard(zstd)压缩算法从原理到代码实现的技术调研报告,结合流程图、结构图及完整C代码实现: 一、核心原理与技术架构 1.1 算法原理 Zstd基于LZ77衍生算法与熵编码(FSE/Huffman)的混合架构&…

AF3 quat_to_rot函数解读

AlphaFold3 rigid_utils 模块的 quat_to_rot 函数的功能是把四元数转换为旋转矩阵,函数利用预定义的四元数到旋转矩阵的转换表 _QTR_MAT 来简化计算。 理解四元数到旋转矩阵的转换 源代码: _quat_elements = ["a", "b", "c", "d"]…