✨✨欢迎👍👍点赞☕️☕️收藏✍✍评论
个人主页:秋邱'博客
所属栏目:C语言,数据结构
前言
前面学习了顺序表,顺序表优点:
- 可以随机访问元素,通过索引能快速定位到元素。
- 存储密度高,不需要额外的指针空间。
但是它也有一些不足的地方:
- 中间/头部位置的插入删除,需要挪动数据,效率低下。
- 动态顺序表,空间不够时需要扩容,扩容本身有消耗,空间浪费。
这时候就有了链表。
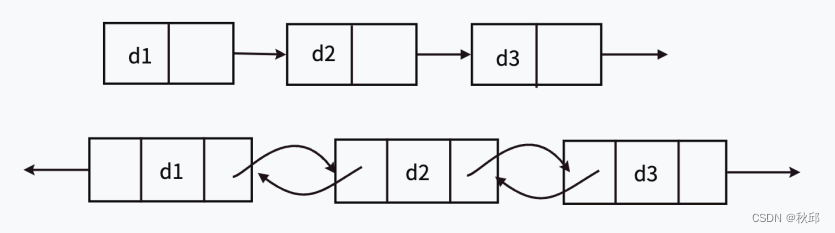
链表的概念以及结构
概念:链表是⼀种物理存储结构上⾮连续、非顺序的存储结构,数据元素的逻辑顺序是通过链表 中的指针链接次序实现的 。
链表分类
链表的结构非常的多样化,一共有2 * 2 * 2种链表。
1、单向或者双向
2、带头或者不带头
3、循环或者不循环
虽然有这么多的链表的结构,但是我们实际中最常⽤还是两种结构: 单链表和双向带头循环链表
1.⽆头单向⾮循环链表:结构简单,⼀般不会单独⽤来存数据。实际中更多是作为其他数据结 构的⼦结构,如哈希桶、图的邻接表等等。另外这种结构在笔试⾯试中出现很多。
2.带头双向循环链表:结构最复杂,⼀般⽤在单独存储数据。实际中使⽤的链表数据结构,都是带头双向循环链表。另外这个结构虽然结构复杂,但是使⽤代码实现以后会发现结构会带来很多优势,实现反⽽简单了,后⾯我们代码实现了就知道了。
定义结构体
单链表在内存中的存储(单向,不带头,不循环)
结合前面所学的知识,可以定义结构体:
typedef int SLTypeData;//方便之后更改类型
typedef struct SListNode
{
SLTypeData data; //节点数据
struct SListNode* next; //指针变量保存下个节点的地址
}SLTNode;
单链表的功能
功能实现
对单链表的打印
插入数据:头插,尾插,删除某个数据
删除数据:头删,尾删,删除某个数据
查找数据
摧毁单链表
单链表的打印
void SLTPrint(SLTNode* phead)
{
SLTNode* pcur = phead;
while(pcur)//pcur != NULL
{
printf("%d", pcur->data);
printf("->");
pcur = pcur->next;
}
printf("\n");
}
创建一个指针来遍历链表,phead是链表的头节点,通过将phead 赋值给 pcur,就可以利用 pcur来逐个访问链表中的节点。这样能保持phead不变性,方便后续可能的其他操作,而影响phead的值,确保链表结构的完整性。
热知识:while(pcur) 等同于 while(pcur != NULL)
注意
在实现之前,我们需要来了解传值和传址的区别。
传值:
- 是将实参的值复制一份传递给形参。
- 在函数内部对形参的修改不会影响到外部的实参。
传址:
- 传递的是实参的地址。
- 函数内部可以通过该地址直接操作外部的实参。
- 可以实现对外部数据的修改。
在插入,删除等操作时,需要传一级指针的地址,这就需要用二级指针来接收,若用一级指针来接收,则修改的数据不会影响外部的实参。
插入数据
尾插
思路:首先创建一个newnode,然后进行插入。
情况(1).若头为空,插入的newnode则为头。
情况(2).若头不为空,需要将最后一个节点的下一个节点指向newnode即可。
//尾插
void SLTPushBack(SLTNode** pphead, SLTypeData x)
{
assert(*pphead);
//不能对空指针进行解引用
SLTNode* newnode = SLTBuyNode(x);
//头为空
if (*pphead == NULL)
{
*pphead = newnode;
}
//头不为空
else {
//找尾
SLTNode* ptail = *pphead;
while (ptail->next)
{
ptail = ptail->next;
}
ptail->next = newnode;
}
}
头插
思路:创建一个newnode,将新节点的下一个节点指向头节点。
代码实现
//头插
void SLTPushFront(SLTNode** pphead, SLTypeData x)
{
assert(*pphead);//不能对空指针进行解引用
SLTNode* newnode = SLTBuyNode(x);
newnode->next = *pphead;
*pphead = newnode;
}
指定位置之前插入数据
思路:
创建一个newnode,对数据进行插入。
情况1.若头节点为空,pos成为头节点,进行头插。
情况2.若头节点为非空,这时需要创建变量prev来遍历链表,指向pos的前一个节点(prev),让前一个节点指向新节点(newnode),新节点指向pos。
//在指定位置之前插数据
void SLTInsert(SLTNode** pphead, SLTNode* pos, SLTypeData x)
{
assert(pphead && *pphead);
assert(pos);
if (*pphead == pos)
{
SLTPushFront(pphead, x);
}
else
{
SLTNode* prev = *pphead;
SLTNode* newnode = SLTBuyNode(x);
while (prev->next != pos)
{
prev = prev->next;
}
prev->next = newnode;
newnode->next = pos;
}
}
指定位置之后插入数据
思路:
创建一个新节点(newnode),将pos newnode pos->next,三者连接起来,先将新节点的下一个节点指向pos的下一个节点(pos->next),然后让pos的下一个节点指向新节点。
//在指定位置之后插入数据
void SLTInsertAfter(SLTNode* pos, SLTypeData x)
{
assert(pos);
SLTNode* newnode = SLTBuyNode(x);
/* pos newnode pos->next;*/
//代码1
newnode->next = pos->next;
pos->next = newnode;
//代码2
//pos->next = newnode;
//newnode->next = pos->next;
}
代码2和代码1一样,只是顺序不一样,那么代码1是否能代替代码2呢?
答案是不能,如果先将pos的next指向新节点,那么pos->next,待会酒就会找不到,所以这个代码2是不对的。
删除数据
头删
思路:创建一个变量*phead来接收*pphead,然后让*pphead指向下一个节点((*pphead)->next),随后释放phead,将其置为NULL。
//头删
void SLTPopFront(SLTNode** pphead)
{
assert(pphead && *pphead);
SLTNode* phead = *pphead;
*pphead = (*pphead)->next;
free(phead);
phead = NULL;
}
尾删
思路:
情况1.单节点,即头节直接将头节点释放,置为空。
情况2.多节点,创建两个变量,prev和ptail,遍历链表找到尾节点ptail和尾节点的前一节点prev,将prev的指向的下一个节点置为空,释放ptail,置为空。
//尾删
void SLTPopBack(SLTNode** pphead)
{
assert(*pphead && pphead);
//单节点
if ((*pphead)->next == NULL)
{
free(*pphead);
*pphead = NULL;
}
//多节点
else
{
SLTNode* ptail = *pphead;
SLTNode* prev = *pphead;
while (ptail->next)
{
prev = ptail;
ptail = ptail->next;
}
prev->next = NULL;
free(ptail);
ptail = NULL;
}
}
删除指定位置的数据
思路:
情况1.单节点,头节点与pos相等就是头删。
情况2.多节点,创建一个变量prev赋值为*pphead,遍历pos的前一个节点prev,将prev的下一个节点指向pos->next。
// 删除pos节点
void SLTErase(SLTNode** pphead, SLTNode* pos)
{
assert(pphead && *pphead);
assert(pos);
if (*pphead == pos)
{
SLTPopFront(pphead);
}
else
{
SLTNode* prev = *pphead;
while (prev->next != pos)
{
prev = prev->next;
}
//prev pos pos->next
prev->next = pos->next;
free(pos);
pos = NULL;
}
}
删除指定位置之后的数据
思路:
创建一个变量del=pos->next,将pos,del,pos->next三者连接起来,pos下一个节点指向del的下一节点。最后释放del,置为空。
//删除pos之后的节点
void SLTEraseAfter(SLTNode* pos)
{
assert(pos && pos->next);//对pos和pos->next断言,不存在办法删
SLTNode* del = pos->next;
//pos del del->next
pos->next = del->next;
free(del);
del = NULL;
}
摧毁单链表
思路:
创建一个变量pcur=*pphead,随后进行遍历,每次先将pcur->next,存在next里,释放pcur,pcur =next,最后头节点置为空。
//摧毁链表
void SListDesTroy(SLTNode** pphead)
{
assert(pphead && *pphead);
SLTNode* pcur = *pphead;
while (pcur != NULL)
{
SLTNode* next = pcur->next;
free(pcur);
pcur = next;
}
*pphead = NULL;
}
完整代码
Slist.h
#pragma once
#include<stdio.h>
#include<assert.h>
#include<string.h>
#include<stdlib.h>
typedef int SLTypeData;
typedef struct SListNode
{
SLTypeData data; //节点数据
struct SListNode* next; //指针变量?保存下?个节点的地址
}SLTNode;
void SLTPrint(SLTNode* phead);
//尾插
void SLTPushBack(SLTNode** pphead, SLTypeData x);
//头插
void SLTPushFront(SLTNode** pphead, SLTypeData x);
//尾删
void SLTPopBack(SLTNode** pphead);
//头删
void SLTPopFront(SLTNode** pphead);
// 查找
SLTNode * SLTFind(SLTNode * phead, SLTypeData x);
//在指定位置之前插?数据
void SLTInsert(SLTNode** pphead, SLTNode* pos, SLTypeData x);
// 删除pos节点
void SLTErase(SLTNode **pphead, SLTNode * pos);
//在指定位置之后插入数据
void SLTInsertAfter(SLTNode* pos, SLTypeData x);
//删除pos之后的节点
void SLTEraseAfter(SLTNode* pos);
//销毁链表
void SListDesTroy(SLTNode** pphead);
Slist.c
#include"SList.h"
void SLTPrint(SLTNode* phead)
{
SLTNode* pcur = phead;
while(pcur)//pcur != NULL
{
printf("%d", pcur->data);
printf("->");
pcur = pcur->next;
}
printf("NULL\n");
}
//创建链表
SLTNode* SLTBuyNode(SLTypeData x)
{
SLTNode* newnode = (SLTNode*)malloc(sizeof(SLTNode));
if (newnode == NULL)
{
perror("malloc error");
return NULL;
}
newnode->data = x;
newnode->next = NULL;
return newnode;
}
//尾插
void SLTPushBack(SLTNode** pphead, SLTypeData x)
{
assert(pphead);
//不能对空指针进行解引用
SLTNode* newnode = SLTBuyNode(x);
//头为空
if (*pphead == NULL)
{
*pphead = newnode;
}
//头不为空
else {
//找尾
SLTNode* ptail = *pphead;
while (ptail->next)
{
ptail = ptail->next;
}
ptail->next = newnode;
}
}
//头插
void SLTPushFront(SLTNode** pphead, SLTypeData x)
{
assert(*pphead);
SLTNode* newnode = SLTBuyNode(x);
newnode->next = *pphead;
*pphead = newnode;
}
//尾删
void SLTPopBack(SLTNode** pphead)
{
assert(*pphead && pphead);
//单节点
if ((*pphead)->next == NULL)
{
free(*pphead);
*pphead = NULL;
}
//多节点
else
{
SLTNode* ptail = *pphead;
SLTNode* prev = *pphead;
while (ptail->next)
{
prev = ptail;
ptail = ptail->next;
}
prev->next = NULL;
free(ptail);
ptail = NULL;
}
}
//头删
void SLTPopFront(SLTNode** pphead)
{
assert(pphead && *pphead);
SLTNode* phead = *pphead;
*pphead = (*pphead)->next;
free(phead);
phead = NULL;
}
// 查找
SLTNode* SLTFind(SLTNode* phead, SLTypeData x)
{
SLTNode* pcur = phead;
while (pcur)
{
if (pcur->data == x)
{
return pcur;
}
pcur = pcur->next;
}
return NULL;
}
//在指定位置之前插?数据
void SLTInsert(SLTNode** pphead, SLTNode* pos, SLTypeData x)
{
assert(pphead && *pphead);
assert(pos);
if (*pphead == pos)
{
SLTPushFront(pphead, x);
}
else
{
SLTNode* prev = *pphead;
SLTNode* newnode = SLTBuyNode(x);
while (prev->next != pos)
{
prev = prev->next;
}
prev->next = newnode;
newnode->next = pos;
}
}
// 删除pos节点
void SLTErase(SLTNode** pphead, SLTNode* pos)
{
assert(pphead && *pphead);
assert(pos);
if (*pphead == pos)
{
SLTPopFront(pphead);
}
else
{
SLTNode* prev = *pphead;
while (prev->next != pos)
{
prev = prev->next;
}
//prev pos pos->next
prev->next = pos->next;
free(pos);
pos = NULL;
}
}
//在指定位置之后插入数据
void SLTInsertAfter(SLTNode* pos, SLTypeData x)
{
assert(pos);
SLTNode* newnode = SLTBuyNode(x);
/* pos newnode pos->next;*/
newnode->next = pos->next;
pos->next = newnode;
}
//删除pos之后的节点
void SLTEraseAfter(SLTNode* pos)
{
assert(pos && pos->next);//对pos和pos->next断言,不存在办法删
SLTNode* del = pos->next;
//pos del del - next
pos->next = del->next;
free(del);
del = NULL;
}
//摧毁链表
void SListDesTroy(SLTNode** pphead)
{
assert(pphead && *pphead);
SLTNode* pcur = *pphead;
while (pcur != NULL)
{
SLTNode* next = pcur->next;
free(pcur);
pcur = next;
}
*pphead = NULL;
}
Test.c
#include"SList.h"
void test1()
{
SLTNode* plist = NULL;
SLTPushBack(&plist, 1);
SLTPushBack(&plist, 2);
SLTPushBack(&plist, 3);
SLTPrint(plist); // 1->2->3->NULL
SLTPushFront(&plist, 4);
SLTPushFront(&plist, 5);
SLTPushFront(&plist, 6);
SLTPrint(plist);
SLTPopBack(&plist);
SLTPopBack(&plist);
SLTPrint(plist);
SLTPopFront(&plist);
SLTPopFront(&plist);
SLTPrint(plist);
SLTNode* ret = SLTFind(plist, 1);
if (ret == NULL)
{
printf("没找到");
}
else
{
printf("找到啦");
}
SLTInsert(&plist, ret, 5);
SLTErase(&plist, ret);
SLTInsertAfter(ret, 6);
SLTEraseAfter(ret);
SLTPrint(plist);
SListDesTroy
}
int main()
{
test1();
return 0;
}
感谢各位大佬的关注,点赞,评论




















