给你一个有 n 个节点的 有向无环图(DAG),请你找出所有从节点 0 到节点 n-1 的路径并输出(不要求按特定顺序)
graph[i] 是一个从节点 i 可以访问的所有节点的列表(即从节点 i 到节点 graph[i][j]存在一条有向边)。
示例 1:

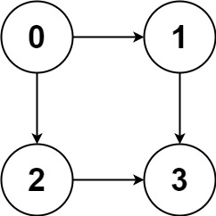
输入:graph = [[1,2],[3],[3],[]] 输出:[[0,1,3],[0,2,3]] 解释:有两条路径 0 -> 1 -> 3 和 0 -> 2 -> 3
示例 2:

输入:graph = [[4,3,1],[3,2,4],[3],[4],[]] 输出:[[0,4],[0,3,4],[0,1,3,4],[0,1,2,3,4],[0,1,4]]
提示:
n == graph.length2 <= n <= 150 <= graph[i][j] < ngraph[i][j] != i(即不存在自环)graph[i]中的所有元素 互不相同- 保证输入为 有向无环图(DAG)
static List<List<Integer>> ans = new ArrayList<>();
static List<Integer> cnt = new ArrayList<>();
public static void dfs(int[][] graph, int node) {
// 递归终止条件,如果当前结点等于最后一个结点说明到达终点
if (node == graph.length - 1) {
ans.add(new ArrayList<>(cnt));
// 结束本次收集结果
return;
}
for (int i = 0; i < graph[node].length; i++) {
// 将当前结点保存至cnt中
int nodeNode = graph[node][i];
// 添加到收集路径中
cnt.add(nodeNode);
// 寻找下一个周围结点
dfs(graph, nodeNode);
// 回溯
cnt.remove(cnt.size() - 1);
}
}
public static List<List<Integer>> allPathsSourceTarget(int[][] graph) {
// 默认是从0开始的,所以需要把0加入结果集
cnt.add(0);
// 默认也是从0开始遍历的
dfs(graph, 0);
return ans;
}
public static void main(String[] args) {
int[][] arr = new int[][]{{1, 2}, {3}, {3}, {}};
allPathsSourceTarget(arr);
}



















![[大模型]Baichuan2-7B-chat FastApi 部署调用](https://img-blog.csdnimg.cn/direct/9f56da2b1ce14aaaa1f1b15018e6682b.png)